I'm trying to implement quantum mean computation via amplitude estimation, as suggested in Example 8.3.5 in Kaye, LaFlamme, Mosca. I wonder about the actual circuit to accomplish this. This previous answer suggested to construct an operator $U_a$ for a (normalized) $F(x)$:
$$ U_a:|0\rangle|0\rangle\mapsto \frac{1}{2^{n/2}} \sum_x|x\rangle(\sqrt{1-F(x)}|0\rangle+\sqrt{F(x)}|1\rangle). $$
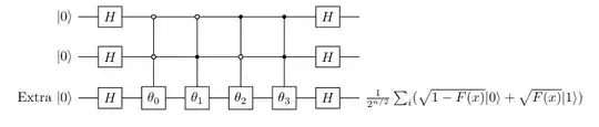
It is important to note that this unitary is easily implemented. You start with a Hadamard transform on the first register, perform a computation of f(x) on an ancilla register, use this to implement a controlled-rotation of the second register, and then uncompute the ancilla register.
I have trouble implementing this. It is clear that in the formula above the first $|0\rangle$ is the multi-qubit state $|00...0\rangle$ which I have to put in equal superposition with $H^{\otimes n}$. I call the second $|0\rangle$ the 'extra' qubit.
For each state $x$, I compute $v = F(x)$. So if my state vector is $[0.1026, 0.2052, 0.3078, 0.9234]$ then I compute, for example, $F(0) = v = 0.1026$. I rotate an ancilla via $2 R_y(\arcsin(v))$. So far, so good.
The next step is confusing. How do I apply the controlled rotation of the extra qubit? Just having something like a Controlled-Not from the ancilla to the extra qubit will not work and just leave the state in an equal superposition. But even have a fully controlled rotation, controlled by the bit patterns of $x$ doesn't seem to be working?
Is there perhaps a pointer to a working implementation? (Thx)
