where
How can we prove these two quantum oracles are equivalent: $$O_x:|x,b\rangle\mapsto|x,b\oplus f(x)\rangle$$ and $$O_z:|x⟩ \mapsto(−1)^{f(x)}|x⟩$$
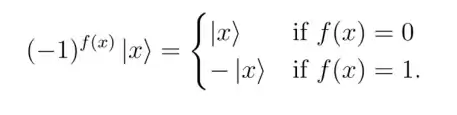
where
How can we prove these two quantum oracles are equivalent: $$O_x:|x,b\rangle\mapsto|x,b\oplus f(x)\rangle$$ and $$O_z:|x⟩ \mapsto(−1)^{f(x)}|x⟩$$
The two oracles are not equivalent. But if you have either one of these oracles, you can trivially construct the other. In that sense they are equivalent.
Converting a phase oracle into a standard oracle is discussed here.
To convert a standard oracle into a phase oracle is discussed in the Wikipedia article on Grover's Algorithm. Put $|-\rangle$ into the "result" qubit before running the algorithm.