I wonder what is the operation for 'combining' two polarized photons (one into each input arm, with perfect timing). I would consider three steps:
1.The two modes (polarization, arm) should be combined by tensor product (Left x Right states)
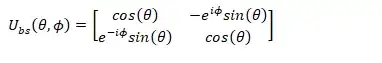
2.The BS matrix (Theta (R,T), Phi (phase)) should be applied to the previous tensor product
3.Symmetry arguments lead me to think that steps (1,2) should also be applied considering left/right inversion of the BS:
3.1 Apply step 1 with operators in reverse order: Right x Left
3.2 Apply step 2 with new_Theta = (90ยบ - Theta), R and T are reversed , and new_Phi = - Phi, phase change is opposed.
If this is correct (which I'm pretty unsure) there would be two resulting states, which I would guess are added, in order to represent that the result at each output arm of the BS has a contribution from the two states previously calculated.
Any thoughts about these steps or this operation?


