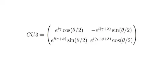
I have this 2*2 unitary matrix one looks like U =[ -0.2840 - 0.5319i, -0.0000 - 0.7978i; -0.0000 - 0.7978i ,-0.2840 + 0.5319i] I want to represent this unitary matrix by a CU3 gate which looks like
Can someone suggest a faster way to determine all the angles? Is there any open-source code that I can use to determine these angles? Thank you for any help and suggestions.
