TL/DR
What is a good circuit for: $$\frac{1}{2}\begin{pmatrix} -i & i & 1 & 1 \\ 1 & 1 & -i & i \\ i & -i & 1 & 1 \\ 1 & 1 & i & -i\end{pmatrix},$$
as this may be a useful matrix for taking square roots of other unitaries?
EDIT - there are some significant errors in my question, and I retract the setup. For example the initial circuit below is improper in at least three ways, as I didn't phase the ancillae, I got the IQFT wrong, and I didn't uncompute properly.
But I don't want to delete the question as @CraigGidney's answer is still valid to the original question, and his pointers to his posts are instructive, and deserves the check!
Separate Square Roots
In more detail, given two unitary operators $A,B$ acting on an $n$-qubit state $|\psi\rangle$, where $A$ and $B$ are inverses of each other, e.g., $AB=BA=I$, and both $A$ and $B$ are of order $4$, e.g., $A^4=B^4=I$, we wish to find a good circuit for $\sqrt A\sqrt B$, as this might be part of a product formula for Hamiltonian simulation.
Initially we can construct the square roots for each of $A$ and $B$ separately, noting that because the eigenvalues of $A$ and $B$ are the fourth roots of unity, e.g., $\pm i, \pm 1$, we can use two ancillae for phase estimation with $S$ gates that rotate the ancillae and take the roots:
The last Hadamard gates are included to emphasize that the ancillae all revert back to $|0\rangle$.
Parallel Circuit
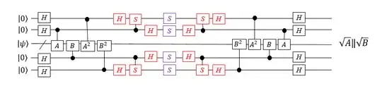
Because $[\sqrt A, \sqrt B]=0$, i.e. the above circuits commute, we can execute them in parallel with four ancillae (two at the top and two at the bottom):
With the above parallel circuit, we have six controlled applications each of $A$ and $B$, sixteen Hadamard gates, and eight $S$/$CS$ gates.
Initial Serial Circuit
But in the first circuits the ancillae revert back to $|0\rangle$, and we can also execute them in series:
This only uses two ancillae, with the same number of gates as, but double the depth of, the parallel circuit.
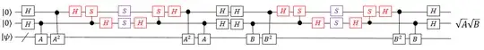
Simplified Serial Circuit
However, recall that $H^2=I$, and we also were given that $AB=A^2 B^2=I$. Thus much of the above cancels out, leaving:
This simplified serial circuit uses two ancillae and six $S$ and one $CZ$ gate, but with ten $H$ gates and significantly only three controlled applications each of $A$ and $B$.
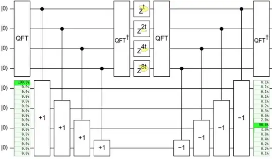
Question
Quirk tells us that the remaining highlighted circuit in the middle of the last figure is equal to the matrix mentioned in the intro:
$$\frac{1}{2}\begin{pmatrix} -i & i & 1 & 1 \\ 1 & 1 & -i & i \\ i & -i & 1 & 1 \\ 1 & 1 & i & -i\end{pmatrix}.$$
I suspect the highlighted circuit could be simplified further still. Can the above circuit/matrix be simplified any more, using, say, Clifford+$T$ gates?
Indeed, the $S$ gates, the $CZ$ gate, etc. are all Clifford gates anyways (although cube roots/fourth roots/etc. would use non-Clifford gates).





