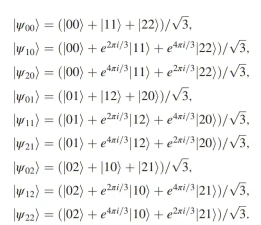
I can understand doing teleportation by using qubits, however, I am stuck there when it comes to qutrits and the operation Bob needs to perform. Suppose Alice and Bob are sharing the most entangled states in the beginning ie:$\frac{1}{\sqrt3}(|00\rangle+|11\rangle+|22\rangle)$ and teleport a qutrit $|\psi\rangle=a|0\rangle+b|1\rangle+c|2\rangle$.
Like how to get the 9 bell states? 
And if the outcome is |ψ10⟩ Then what should Bob do?