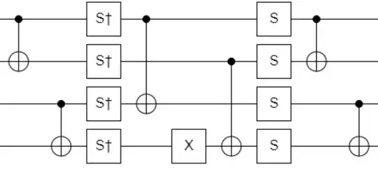
While working on an error detection algorithm, I stumbled upon the problem of simplifying the following implementation
Here, the $S$ gate is defined by
$$S=\left( \begin{array}{cc} \frac{\sqrt{3}}{2} & -\frac{1}{2} e^{\frac{i \pi }{3}} \\ \frac{1}{2} e^{\frac{i \pi }{3}} & \frac{1}{2} \sqrt{3} e^{\frac{2 i \pi }{3}} \\ \end{array} \right)$$
The issue with this implementation is that I am basically de-encoding the state (the $C_{not}$s and $S^\dagger$s in the beginning), performing the required logical gates (the $C_{not}$s and $X$ gate in the middle), and then re-encoding the state afterwords (the $C_{not}$s and $S$s at the end). Instead of this de-encoding re-encoding procedure, I would like to find some implementation that is equivalent to the above set of gates that uses less $C_{not}$s and single-qubit gates overall. I would greatly appreciate if anyone knew of an efficient way to implement this type of gate or some papers I could research in order to further my understanding of said gate.
EDIT: In response to @ryanhill1: It is an error detection algorithm that I am developing. The basic idea is to use two qubits (and therefore expanding the hilbert space) to represent a single qubit through the encoding
$$|0\rangle_L=-\frac{1}{4} \sqrt{3} e^{\frac{i \pi }{3}}|00\rangle+\frac{3}{4} e^{\frac{2 i \pi }{3}}|01\rangle-\frac{\sqrt{3}}{4}|10\rangle-\frac{1}{4} e^{\frac{2 i \pi }{3}}|11\rangle$$
$$|1\rangle_L=-\frac{1}{4} \sqrt{3} e^{\frac{i \pi }{3}}|00\rangle-\frac{1}{4} e^{\frac{2 i \pi }{3}}|01\rangle-\frac{\sqrt{3}}{4}|10\rangle+\frac{3}{4} e^{\frac{2 i \pi }{3}}|11\rangle$$
This encoding is actually achieved using a pair of $S$ gates and a single $C_{not}$ gate. Hence the issue I have: I want to make a gate that acts on $|0\rangle_L$ and $|1\rangle_L$ like a $C_{not}$ acts on $|0\rangle$ and $|1\rangle$ without de-encoding and the re-encoding the entire state.

