Their differences (and reasons):
$\bullet$ (1) $Z$ boson is massive and photon is massless.
- As you have said $Z$ boson is massive(~91 Gev) due to Higgs mechanism, but photon stays in the unbroken U(1) sector.
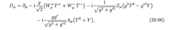
$\bullet$ (2) $Z$ boson has gauge coupling differently from the photon. Look at the covariant derivative (see Peskin&Shroeder Intro to QFT chap 22):

The standard model electroweak symmetry breaking is
$$\text{SU(2) $\times$ U(1)$_Y$ $\to$ U(1)$_{em}$}$$
with U(1)$_Y$ renders hyper U(1) charge $Y$, which is different from the electromagnetic charge U(1)$_{em}$ charge $$e=\frac{gg'}{\sqrt{g^2+g'^2}}.$$ Notice that the photon of U(1)$_{em}$ has the U(1) generator by $T^3+Y$ (mixing between SU(2) and U(1)$_{Y}$). Similarly, $Z$ boson has a generator (mixing between SU(2) and U(1)$_{Y}$) by $g^2T^3+g'^2Y$. However, the couplings of two bosons are different.
As you said, $Z$ boson has coupling to neutral particle (neutral under U(1)$_{em}$), but the photon does not. The reason is, "being charged" under unbroken U(1)$_{em}$ (i.e. $T^3+Y$) is not the same as "being charged" under one of three generators of broken SU(2) (i.e.$g^2T^3+g'^2Y$).
$\bullet$ (3) Feynman rules are analogues to each other, but with different couplings:



source for Feynman rules: Griffiths: Intro to elementary particles.