In QED, we usually say that charge renormalization is a consequence of vacuum polarization, because of the virtual electron-position pairs, the bare charge is shielded. It is intuitively comprehensible, and we could do calculation based on this fact. On p.303 in Schwartz's QFT and SM, he calculated the electron scattering cross-section with a vacuum polarized photon propagator, and renormalize $e_0$ to $e_R$ to eliminate the infinity.
But latter, while developing the renormalized perturbation theory, the photon propagator is made finite by photon field $A_\mu$ redefinition, and charge renormalization (coupling constant renormalization) is achieved by studying the electron-photon vertex. He commented on this difference by "physical results do not care how the infinities are removed"(Page 345). I just can't understand why this is true.
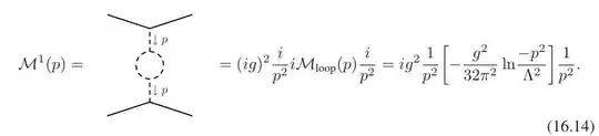
Schwartz also noted that in QED, $Z_1 = Z_2$, "this explains why we were able to calculate the renormalization of the electric charge from only the vacuum polarization graphs"(Page 351). So the key point is $Z_1 = Z_2$? If I had another theory, let's say a $\phi^3$ theory $$\mathcal{L} = \frac{1}{2}(\partial_\mu \phi)^2 - \frac{1}{2} \mu^2 \phi^2 + \frac{g}{3!} \phi^3,\tag{16.3}$$ can I do the same thing? I mean for this $\phi^3$ theory, can we just calculate vacuum polarization diagram to get the coupling constant renormalization?
