My concrete problem is, the final sign on the integral.
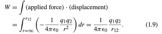
Purcell and Morin, Electricity and Magnetism third (3rd) edition on page 12. They show a simple calculation of the work required to bring two equal charges closer together, having one steady (e.g. q1) and bringing the other (e.g. q2) from infinity to a closer finite distance $r_{12}$.
The force that has to be applied to move one charge toward the other is equal and opposite to the Coulomb force. Therefore,
Note that because r is changing from $\infty$ to $r_{12}$ , the differential $dr$ is negative. We know that the overall sign of the result is correct, because the work done on the system must be positive for charges of like sign; they have to be pushed together (consistent with the minus sign in the applied force). Both the displacement and the applied force are negative in this case, resulting in positive work being done on the system.
Conceptually (physically) I think it is clear: external force is opposite to the coulomb force, therefore external force is negative. Displacement is from $\infty$ to $r_{12}$ so $dr$ is also negative, giving a dot product of two negative entities, therefore the work is positive.
What is the mathematical justification then for the minus sign on the integral? I am missing something with the indices?, I believe the fact that dr is negative justifies writing the indices from infinity to $r_{12}$ without having to use another minus sign.
I have reviewed several posts on this topic without reaching peace of mind. Examples of posts:
Derivation of a work done by forces on charge
Why the work done is positive when bringing 2 opposite charges together?
