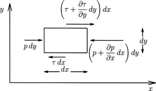
When looking at small elements in continuum mechanics, why do we draw that the stress/force the way shown in diagrams? How do we know the "pairs" of forces on opposite faces always opposite, and which direction are the shear forces.
Can't forces on opposite faces point in the same direction?

