Here's something that's really been confusing me.
If two people on separate spaceships pass each other by, where both are in inertial frames, person A (on spaceship 1) could say that he is at rest and that person B (on spaceship 2) is the one moving, while person person A is at rest. But at the same time, person B could say that person A is the one moving while person B is at rest. This means that person A sees person B's time running slower, but at the same time, person B sees person A's time running slower. This means they are living in each others past.
But what if they are both the same age and are to die at the exact same age, and the exact same time (that is independent from them traveling on the spaceships). Person A would see person B age less then him, so person A would say that he is the one to die first. But at the same time person B sees person A age less then him, so person B would say that he is the one to die first.
From each others perspective the events of death that are supposed to occur at the exact same time, do not occur at the exact same time. The difference is the same for the both of them. But how is it possible that they see each other age less then them? it is as though they are living in each others past.
How is this allowed, and who is right?
I also believe that a third observer, situated perfectly in between person A and person B, so there speeds relative to this observer are the same, would see their death at the exact same time.
What are your thoughts on this?
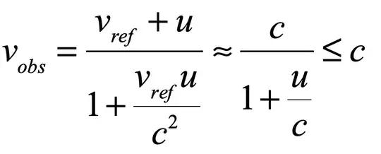
As a side question, if two spaceships travel past each other at 0.8 times the speed of light, this is the same as one traveling at 2 x 0.8c or 1.6c past the other if it was at rest. But this is impossible because nothing can travel faster then the speed of light. how is this resolved?
