-5

enter image description here

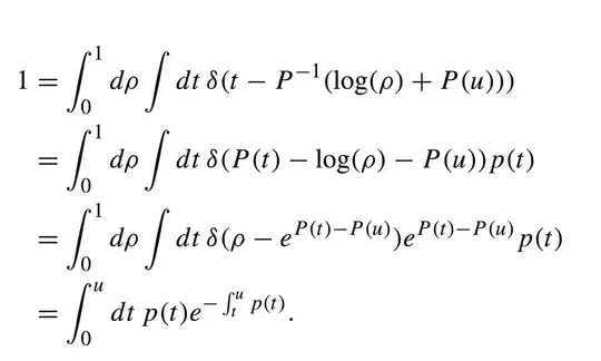
It is not clear to me how this derivation proceeds through the steps. Could someone help me understand how to arrive at this result or point me towards a resource that explains these algebraic manipulations within the Dirac Delta function?

Thanks in advance

Edit: Apologies, not sure how I forgot to mention that P is the primitive function/antiderivative of p.

For context this is related to the Sudakov veto algorithm used in generating parton showers.

1 Answers1

-1

This is pretty grotesque.

You need to first know a property of the Dirac delta distribution. It is stated as $$\tag1\delta[g(x)]=\frac{\delta(x-x_0)}{|g^\prime(x_0)|}$$ on Wikipedia, say, for any function $g$ that has a simple isolated root at $x_0$, and we will be using this property in reverse for many times.


There are many skipped steps, even at the front. $$ \begin{align} \tag21&=\int_0^1\mathrm d\rho\\ \tag3 &=\int_0^1\mathrm d\rho\int\mathrm dt\ \delta(t-c) \end {align} $$ where the integral of $t$ just needs to include $c$; it is then sensible to choose any $c$ we like, which is in particular $c=P^{-1}[P(u)+\ln\rho]$ that the text used.

We can now apply the property above backwards twice, once on the CDF function $P$ and another time on the exponential $\mathrm e$, leading to the 2nd to last line. By the FTC, $P(t)-P(u)=-\int_t^u p(x)\mathrm dx$

The last line is then a swapping of the integrals, since we are free to use the Dirac delta distribution to destroy $\rho$ rather than $t$, and to do that properly, you also have to consider the integration region.