Consider a person pedaling a bicycle, if we consider the system consisting of the rider and cycle as a total and apply work energy conservation we can see that whatever force the rider applies on the pedal will also have an equal and opposite reaction and as both the pedal and the foot of the rider will have equal velocity the net power cancel outs? I don't know where the mechanical energy is generated in this process.
I have attached a picture of a question from my engineering textbook (Engineering Mechanics by P.C Dumir) from which I got this question.

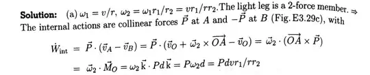
I have attached a portion of the solution as well, I am not sure why It has considered the reaction force to be acting at point B and not the foot of the rider, due to which it has calculated the power by taking the difference of velocities of the subsequent parts.
