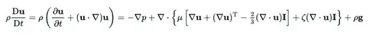
Navier-Stokes equations are the most general equations in fluid dynamics:
We ususlly derive it by the consevation laws and $F=ma$. But how to derive it from the Action principle or equivalently Euler-Lagrange's equation? Can you give me a Lagrangian (density), or an action to get it?
Not duplicated!