I'm currently studying Jakob Schwichtenberg's "Physics from Symmetry" where on subsection 3.7.8 he proves that the $(1/2,1/2)$ representation of the Lorentz Group corresponds to 4-vectors.
I have a few questions as to why we can do a few of the things he does. For context, this method heavily uses Van der Waerden notation (dot vs undotted indices), which is introduced before getting the 4-vector representation:
It is clear that the representation is 4 dimensional. He chooses to study 2x2 complex matrices. Specifically, it is clear why general matrices would not be an irreducible representation, so we pick Hermitian matrices (which have 4 free parameters, exactly what we want). Let $v$ be the object that's being acted on by the representation.
My questions have to do with the following portion of the text: (page 81)
Can we add a lower undotted index and an upper doted index into $v$ just because we have the $(1/2,1/2)$ representation? As in, we know beforehand that $(1/2,0)$ corresponds to lower undotted and $(0,1/2)$ corresponds to upper undotted. But I don't see how this is an argument to simply put the lower undotted index and an the upper doted index into $v$.
I understand that we have to copies of $\mathfrak{s}\mathfrak{u}2$, and that they are independent of each other, and that \begin{equation} \left( \frac{1}{2},\frac{1}{2} \right) = \left( \frac{1}{2},0 \right) \otimes \left( 0,\frac{1}{2} \tag{1}\right) \end{equation} But I'm unsure what Eq. 1 really implies/means.
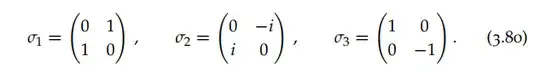
Furthermore, why can't we use the Pauli matrices:
If we have the lower undotted and the upper dotted index?

