The "naive" calculation of the vacuum energy density in flat 4D spacetime is resumed by the following divergent integral (I'm considering only free massless fields): $$\tag{1} \rho_{\text{vac}} = \int_0^{\infty} \frac{1}{2} \, \hbar \omega \, \frac{d^3 k}{(2 \pi)^3}. $$ Very frequently, authors are introducing some Lorentz breaking cut-off frequency $\omega_{\text{max}}$ to get a finite result. So for the open infinite 3D flat space: $$\tag{2} \rho_{\text{vac}} = \frac{\hbar}{2 (2 \pi)^3} \int_0^{\omega_{\text{max}}} \omega^3 \, 4 \pi \, d\omega = \frac{4 \pi \hbar}{2 (2 \pi)^3} \, \frac{\omega_{\text{max}}^4}{4}. $$ This is all well known. Now, I want to consider some $3 + d$ dimensional extension of this calculation. Consider a flat space of 3 open infinite dimensions + $d$ "internal" (i.e finite closed) dimensions, of spacetime metric $$\tag{3} ds^2 = dt^2 - (dx^2 + dy^2 + dz^2) - b^2 (d\theta_1^2 + d\theta_2^2 + \dots + d\theta_d^2), $$ where $x$, $y$ and $z$ are the usual cartesian coordinates in the open 3D space, while $0 \le \theta_i < 2 \pi$ ($i = 1, 2, \dots d$) are finite angular coordinates in the $d$ dimensional extension. $b$ is a constant (the "radius" of the internal dimensions). Note that I put $c \equiv 1$ for simplicity and I'm using the $\eta = (1, -1, -1, ...)$ metric signature. The spacetime described by metric (3) can be thought as a flat $d$-torus joined to the usual 4D Minkowski spacetime.
Many authors are considering a trivial $D$ dimensional extension of (1)-(2), but this isn't exactly what I'm interested in, since it implies an open $D$-euclidian space (here, $D$ would be $3 + d$): $$\tag{4} \rho_D = \int_0^{\omega_{\text{max}}} \frac{1}{2} \, \hbar \omega \, \frac{d^D k}{(2 \pi)^D} \propto \int_0^{\omega_{\text{max}}} \omega^D \, d\omega \: \Omega_D = \frac{\omega_{\text{max}}^{D + 1}}{D + 1} \: \Omega_D, $$ where $\Omega_D$ is the "solid angle" in $D$ dimensional euclidian space, such that $\Omega_3 = 4 \pi$ for $d = 0$ (i.e $D = 3$).
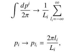
So my question is how should we change (1)-(2), if the extended $D = 3 + d$ space contains a closed, flat compact $d$ dimensional extension? Would it be right to simply use the following formal substitutions? $$\tag{5} d^3 k \quad \Rightarrow \quad d^3 k \, dq_1 \, dq_2 \dots dq_d, $$ and $$\tag{6} \omega = || \mathbf{k} || =?\!=\, \sqrt{k_x^2 + k_y^2 + k_z^2 + q_1^2 + q_2^2 + \dots + q_d^2} \,. $$ But then, what should be the integration domain for the $q_i$ momentum variables in the closed flat-torus space? I'm expecting some discrete values, that could be extended to a continuous interval since the integral is still divergent and would get most of its contribution from very high momentum modes. What would be the equivalent of the "solid angle" $\Omega_D$ in such a universe? $\Omega_D = 4 \pi (2\pi)^d$ ??
EDIT: For reference, the solid angle in an open euclidian $D$ dimensional space is $$\tag{7} \Omega_D = \frac{2 \sqrt{\pi}^D}{\Gamma(D/2)}. $$ This formula gives $\Omega_1 = 2$, $\Omega_2 = 2\pi$, $\Omega_3 = 4 \pi$, $\Omega_4 = 2 \pi^2$, etc.
