0

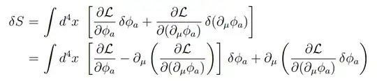
I just started going through this http://www.damtp.cam.ac.uk/user/tong/qft.html of QFT and I got stuck at the very beginning. The Lagrangian for the field is derived by:

enter image description here

I think that the second step in this derivation is integration by parts, however after trying multiple times I still don't get what I need to get. Could someone explain what I'm doing wrong and provide step-by-step derivation?

Qmechanic
  • 220,844

0 Answers0