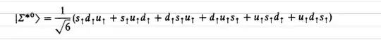
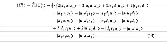
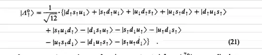
Your question has been all but answered in the near-duplicate question linked. An explicit answer lies in the three-quark wavefunctions for
- $Σ_*^0$ in the SU(3) decuplet, $J = \frac{3}{2}$, I=1
- $\Sigma^{0}$ in the octet, $J = \frac{1}{2}$, I=1
- $\Lambda^{0}$ in the octet, $J = \frac{1}{2}$, I=0
Take all three to have $J_3=1/2$ for comparison purposes, and to check the necessary mutual orthogonality, and read them off a good text, e.g., for accessibility, W. Greiner & B. Müller, Quantum Mechanics: Symmetries in, respectively: Exercise 8.14, (26); Exercise 8.15, (15); Exercise 8.15, (21), which I invited you to list so as to understand the statistics thereof. I am copying them here. They live in the 18-dim space of 6 flavor perms times 3 (downarrow) spin ones.
First note that 1) results from acting with $J_-$ on the $J_3=3/2$ one with 6 flavor perms, symmetrized. So $J_+$ does not annihilate it, as it does to 2) and 3); but $I_+$ fails to annihilate it, and likewise for 2) (as they are both in the middle of an isotriplet), whereas it annihilates 3).
So, now, 1) is separately both flavor and spin symmetric; for it to be orthogonal to 2), the latter must be spin (perm of the downarrow location) antisymmetric in the ud subspace. 1) is orthogonal to 3) since that one is I-antisymmetric; same reason 3) is orthogonal to 2). Note 3) is special, as it lacks 6 of the 18 possible states, and only has 12.
So your guess was partially right: 1) is symmetric under I and J, and it is the only one with a factorizable wavefunction.
But 2) and 3) are not factorizable, and have mixed symmetry in both the isospin and spin sectors, conveniently meshing to yield a symmetric state under combined $J_3$ and $I_3$ action.
With total color antisymmetry, they all three obey the generalized Pauli exclusion principle effortlessly. I have tried to make a holistic geometrical construction to systematize these rules, but it does not seem to summarize the situation better than the above.
Here are poor pics of them,



The more tasteful SU(6) wave functions in the 56 are in tables 4 and 5 of Fayyazuddin & Riazuddin, A Modern Introduction to Particle Physics...