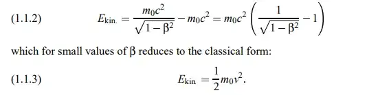
I was reading a book and came across a formula which gives relativistic kinetic energy of a moving body with velocity $v=ßc$, where $c$ is speed of light. The formula is shown in image (equation number 1.12)
What I need to know is how for small values of ß, equation 1.12 becomes equation 1.13?
