3

PI know questions related to the stress-energy-momentum tensor’s units have been asked many times before, but I have a question about the elements of this tensor not all having the same units, nor the elements all being symmetrical.

It is said that the stress-energy-momentum tensor’s units are “energy density” or “momentum flux density” :

Energy = $kg~m^2/s^2$ --> density $= /m^3$ --> energy density : $kg /m~s^2$

Momentum = $kg~m/s$ --> flux = $/ (s~m^2)$ --> momentum flux (technically not “density”) : $kg/m~s^2$

So far, so good, the units agree.

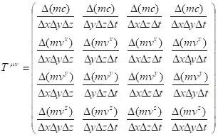
The definition of $T_{\mu\nu}$ is “the rate of flow of the $\mu$ component of four-momentum across a surface [of unit area] of constant $\nu$.” Since the four-momentum’s terms are ($E/c$, $p_x$, $p_y$, $p_z$), by this definition, this creates the following matrix :

enter image description here

Which can be reduced to a shorthand units notation of (note : $mc = E/c$ = momentum) :

enter image description here

And doing a units analysis on this results in :

enter image description here

The 3 right columns all have the correct units, because of the $\Delta$t in their denominator in the second matrix. But the left column’s denominators are all spatial, so the units are not an energy density or momentum flux.

So my questions are :

Are the left column’s units actually different than all the other column’s units, or have I missed something?

Also, why is the tensor claimed to be symmetrical, when the left column’s units are different than the top row’s units? Even if I have the left column wrong, the shear forces (see table below) are also not symmetrical.

P.S. – since pressure’s units are : $kg/m~s^2$ and shear force’s units are : $kg~m/s^2~m^2 = kg / m~s^2$, the first matrix can be re-written (using the dimensions of the second matrix as a guide) as :

enter image description here

Which is the best description I’ve seen for this tensor.

RC_23
  • 12,766
  • 2
  • 17
  • 53
ZenFox42
  • 409

2 Answers2

13

The weird dimensions in your tensor seem to come from working with the coordinate $\lbrace t,x,y,z\rbrace$, which have different dimensions. Usually one works with $\lbrace ct,x,y,z\rbrace$, in which all of the components have the same dimensions. (Remark: the original version of this answer claimed all components of a tensor should have the same dimension but, as mike stone pointed out in the comments, this only holds if the coordinates all have the same dimension).

Hence, from your matrix, the problem seems to be simply that you're writing $\Delta t$ when you really should be writing $c \Delta t$.

I find it somewhat complicated to define the stress-energy tensor in terms of its interpretation. It is cleaner to define it mathematically (for example, using the expressions on Wikipedia) and interpret it later. This will clear the difficulties with the manipulation of $c$'s and make it clear which entries in your tensor should be divided or multiplied by $c$.

2

First, to correct a misconception that is widespread even in the Physics literature: the object that the various densities and fluxes belong to as components is not a tensor, but is (as the term "density" already indicates) a tensor density. In particular, it is the tensor density that appears in the continuity equation for the transport law $∂_ρ ^ρ_ν = -_ν$. Here, I'm using the notation $∂_ρ = ∂/∂x^ρ$, and the summation convention throughout.

Second: nor is it rank (0,2) or (2,0), but rank (1,1), when expressed in its natural, pre-metric, form. It is related to the corresponding tensor $T_{μν}$ by: $^ρ_ν = \sqrt{|g|} g^{ρμ} T_{μν}$, where $g_{μν}$ comprises the components of the metric, $g^{ρμ}$ the components of the inverse metric and $g$ is the determinant of the matrix formed of $g_{μν}$.

The tensor and tensor density are, by construction symmetric; the symmetry condition being expressible as $T_{μν} = T_{νμ}$, or equivalently, as $g_{νρ} ^ρ_μ = g_{μρ} ^ρ_ν$.

The tensor density, itself, is obtained from the canonical stress tensor, which I'll denote $$, by a correction of the form $^ρ_ν = ^ρ_ν + ∂_μ ^{μρ}_ν$, involving an additional tensor density that is anti-symmetric in $(μ,ρ)$: $^{μρ}_ν = -^{ρμ}_ν$. The anti-symmetry ensures that the transport law applies equivalently to $$ and to $$. The right choice for $$ yields a tensor density $$ and tensor $T$ from $$ that is symmetric.

The canonical stress tensor for a field theory given by an action principle with an action integral of the form $S = ∫ d^4x$, is given by $$^ρ_ν = \frac{∂}{∂v^A_ρ} v^A_ν - δ^ρ_ν ,$$ where $$ is the corresponding Lagrangian density (again: density) and - for 4D space-time with coordinates $\left(x^0, x^1, x^2, x^3\right) - d^4x = dx^0 ∧ dx^1 ∧ dx^2 ∧ dx^3$; for a field whose components are given by $q^A$ and gradients by $v^A_μ = ∂_μ q^A$, where $δ^ρ_ν$ is the Kronecker delta, as usual, given by $δ^ρ_ν = 1$ if $ν = ρ$ and $δ^ρ_ν = 0$ if $ν ≠ ρ$.

Use the following to denote the respective dimensions: $q^A = [A]$, $x^μ = [μ]$, and denoting the dimension of $S$ by $[S] = H = ML^2/T$, where $M$, $L$ and $T$ respectively denote the dimensions of mass, length and duration. Also, write $Ω = \left[d^4x\right] = [0][1][2][3]$. Then: $$ \left[v^A_μ\right] = \frac{[A]}{[μ]}, \hspace 1em [] = \frac{H}{Ω}, \hspace 1em [^ρ_ν] = [^ρ_ν] = \frac{[]}{[A]/[ρ]} \frac{[A]}{[ν]} = \frac{H}{Ω}\frac{[ν]}{[ρ]}.$$

The usual interpretation for $$ is that the 3-form $^ρ_ν ∂_ρ ˩ d⁴x$ is the 3-current for the momentum component $p_ν$, meaning that $^0_0$ is an energy density, $\left(^1_0,^2_0,^3_0\right)$ its corresponding flux, and for $j = 1, 2, 3$, $^0_j$ is the density for the momentum component $p_j$, and $\left(^1_j,^2_j,^3_j\right)$ its corresponding flux. In coordinates, where $x^0$ denotes time, and $\left(x^1,x^2,x^3\right)$ are Cartesian (or at the least: coordinates with length as their dimension), the key dimensions in question are $Ω = TL^3$ and $$\left[^0_0\right] = \frac{H}{Ω} = \frac{ML^2/T}{TL^3} = \frac{M}{LT^2} = \left[^1_1\right] = \left[^2_2\right] = \left[^3_3\right],$$ which are respectively the dimensions for both energy density and pressure, since $$\frac{ML^2/T^2}{L^3} = \frac{M}{LT^2} = \frac{ML/T^2}{L^2}.$$ For the momentum density, we obtain $$\left[^0_1\right] = \left[^0_2\right] = \left[^0_3\right] = \frac{ML^2/T}{TL^3}\frac{T}{L} = \frac{M}{L^2T} = \frac{ML/T}{L^3}.$$ In all cases, the fluxes and densities have the expected relations to one another (flux = density multiplied by speed): $$\left[^1_ν\right] = \left[^2_ν\right] = \left[^3_ν\right] = \left[^0_ν\right] \frac{L}{T}.$$

The Dimensions of $T_{μν}$
This depends on what convention is used for the metric. If the metric denotes a line element for proper time, then dimensional analysis would yield $$T^2 = \left[g_{μν} dx^μ dx^ν\right] = \left[g_{μν}\right][μ][ν] ⇒ \left[g_{μν}\right] = \frac{T^2}{[μ][ν]}.$$ If the line elements denotes proper distance, which is the prevailing convention, then the analysis would be modified to the following: $$L^2 = \left[g_{μν} dx^μ dx^ν\right] = \left[g_{μν}\right][μ][ν] ⇒ \left[g_{μν}\right] = \frac{L^2}{[μ][ν]}.$$

That's the convention we'll adopt here.

Under that convention $g = L^8/Ω^2$ and $\sqrt{|g|} = L^4/Ω$ ... hence $\sqrt{|g|} d^4x = L^4$, independently of what dimensions the coordinates individually have. For the inverse metric, we have $$[g^{μν}] = \frac{[μ][ν]}{L^2}.$$

As a result, we obtain: $$\frac{H}{Ω}\frac{[ρ]}{[ν]} = \left[^ρ_ν\right] = \frac{L^4}{Ω} \frac{[ρ][μ]}{L^2} \left[T_{μν}\right] ⇒ \left[T_{μν}\right] = \frac{H}{L^2[μ][ν]} = \frac{M}{T[μ][ν]}.$$ In particular, for $i, j = 1, 2, 3$, this yields: $$\left[T_{00}\right] = \frac{M}{T^3}, \hspace 1em \left[T_{i0}\right] = \left[T_{0j}\right] = \frac{M}{LT^2}, \hspace 1em \left[T_{ij}\right] = \frac{M}{L^2T}.$$

The Correct Coupling Coefficient For Einstein's Equations
This confusion between tensor and tensor density has led to the widespread use of the wrong expression for the coupling coefficient for Einstein's Field Equations - even on a wall over at Leiden University, itself. In fact, in the literature there are several different expressions used for the coefficient.

The Hilbert tensor density is given in terms of the corresponding Lagrangian density by $$_{μν} = -2\frac{∂}{∂g^{μν}}.$$ The fact that the expression is substantially simplified when expressed in terms of densities rather than tensors is a tell that you're actually dealing with densities, not tensors. The corresponding dimension $$\left[_{μν}\right] = \frac{H/Ω}{[μ][ν]/L^2} = \frac{H}{Ω}\frac{L^2}{[μ][ν]}$$ is consistent with what we already have, noting that $_{μν} = g_{μρ}^ρ_ν$, so this checks out.

The gravitational part of the Lagrangian is given, by $k √|g| R$, for a suitable scale factor $k$, where $R$ is the curvature scalar. The dimensions for the various geometric quantities are $$Γ^ρ_{μν} = \frac{[ρ]}{[μ][ν]}, \hspace 1em R^ρ_{σμν} = \frac{[ρ]}{[σ][μ][ν]}, \hspace 1em R_{μν} = \frac{1}{[μ][ν]},$$ respectively for the connection, curvature tensor and Ricci tensor.

This is independent of what convention we adopt for the line element $g_{μν} dx^μ dx^ν$. The dimension for the curvature scalar, however, is not: $$[R] = \left[g^{μν}R_{μν}\right] = \frac{[μ][ν]}{L^2}\frac{1}{[μ][ν]} = \frac{1}{L^2}.$$ Using this, we find that the scalar factor must have the following dimension: $$\frac{H}{Ω} = \left[k \sqrt{|g|} R\right] = [k] \frac{L^4}{Ω} \frac{1}{L^2} = [k] \frac{L^2}{Ω} ⇒ [k] = \frac{H}{L^2} = \frac{M}{T}.$$ Noting that $$[G] = \frac{L^3}{MT^2}, \hspace 1em [c] = \frac{L}{T},$$ where $G$ denotes Newton's gravitational coefficient and $c$ the vacuum speed of light, it follows that $$[k] = \frac{L^3}{T^3} \frac{MT^2}{L^3} = \left[\frac{c^3}{G}\right].$$

The scale factor used in the Einstein-Hilbert action $$S = \frac{1}{2κ} \int \sqrt{|g|} R d^4 x$$ is $k = 1/(2κ)$ and, up to powers of $c$ in 4 dimensions, $κ = 8πG$. (Note also the qualification: the factor $8π$ is specific to 4 dimensions and changes for geometries of dimensions other than 4). The dimensional analysis, here, indicates this power is $c^3$, not the more commonly-seen $c^4$ and that $$κ = \frac{8πG}{c^3}.$$

Some literature references get this right. Some use $c^4$, instead of $c^3$, and Einstein used $c^2$. References seen on-line almost all use $c^4$, which is wrong.

The situation is analogous to what used to happen with everyone using "Lorentz gauge" instead of (the correct) "Lorenz gauge", before being corrected by (the late) J. D. Jackson.

NinjaDarth
  • 2,850
  • 7
  • 13