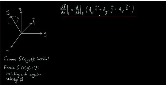
I am watching a youtube video regarding time derivatives in a rotating reference frame. The stationary reference frame is S and the rotating one is S'.
Unfortunately I don't understand why the red underlined formula is valid. Is it because there is no external force acting?
Because with two reference systems, where one is stationary and the other moves with a constant velocity, it is the case, if a force acts on a test particle, that the force is the same in both reference systems, but not the measured velocity.
