I'm making gyroscopes in my shop and studying precession. Studied dynamics in 1964 so may have forgotten a thing or two.
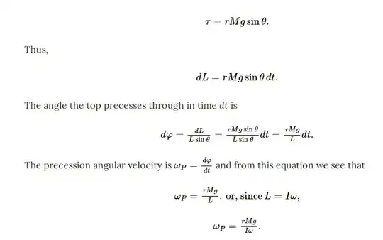
Consider a gyroscope or top spinning with its axis at angle $\beta$ with vertical. The (correct?) equation for angular velocity of precession is: $\Omega = mgd/I\omega$ where "r" is linear distance to center of mass. Apparently independent of angle β, which is angle of the axis from vertical. Seems to me it should be $\Omega = mgrsin\beta/I\omega$. Otherwise $\Omega$ would be no different when axis is vertical ($\beta=0$) compare with axis horizontal.
What am I missing here?
In subsequent post, I can attach a photo of my gyroscope.
Thanks
EDIT: Let's replace "d" with "r". Attached is drawing. Also shown is description which shows equations. Still do not understand how precession angular velocity can be independent of angle theta.