0

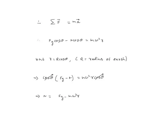
My concern here is that, if you were to calculate the apparent weight of an object due to earth's rotation at the equator, most text books use centripetal force and it works totally fine, but when it comes to any other point on the surface of the earth that is at an angle, the textbooks switch to centrifugal force. Is it not possible to figure out the apparent weight using centripetal forces? I tried it out but my answer is completely wrongenter image description here

enter image description here

The correct answer is dependent on the angle theta

It would be great if someone helped me out with this. Thanks!

Qmechanic
  • 220,844
ojasvi
  • 1

3 Answers3

5

You are implicitly assuming that the normal force and the force due to gravity act in parallel and opposite directions. This cannot be correct, except at the equator, since their resultant (which is the centripetal force) must be perpendicular to the Earth’s axis of rotation.

So either the normal force is not radial (i.e. the Earth is not spherical) or you must include friction in your forces. If you assume the Earth is a perfect sphere and is smooth then everything slides towards the equator, and your incorrect assumption is that an object not at the equator is in equilibrium.

gandalf61
  • 63,999
0

First: using forces is superfluous. Stick to accelerations.

If you have a perfect sphere ($R$) rotating at $\vec\omega$, then there is a (Newton's Law) gravitational field that always points radially:

$$ \vec a_g(\theta) = -a_g\hat r$$

where $\theta$ is the geocentric latitude.

There's also a centrifugal acceleration:

$$ \vec a_c(\theta) = \omega^2 R\cos(\theta)\hat x$$

Then use

$$\hat x(\theta) = \cos(\theta)\hat r - \sin(\theta)\hat\theta$$

to add them:

$$\vec a = \vec a_g + \vec a_c $$ $$\vec a = -a_g\hat r + \omega^2 R\cos(\theta)[\cos(\theta)\hat r - \sin(\theta)\hat\theta] $$

$$\vec a = -(a_g-\omega^2R\cos^2\theta)\hat r - 2\omega^2R\sin( 2\theta)\hat\theta $$

You use spherical coordinates so the change to pure Newtonian gravity shows a reduction in central attraction in the radial direction, and a vertical deflection give by the $\hat\theta$ term

JEB
  • 42,131
0

Indeed at any latitude the apparent weight can be calculated.

One aspect of the problem is that you can take advantage of a simplification that allows some effects to drop away against each other.

To that end I will first discuss a simpler case. As an example of that: the dynamics of a liquid mirror telescople

This year a 4 meter Mercury mirror telescope, located at the Devasthal observatory in India, has been put into service.

So the large dish with a layer of Mercury is rotating, resulting in a parabolic shape of the surface of the Mercury.

Specifically: the cross section of the surface is a parabola.

At every distance to the axis of rotation the slope of the surface is such that the slope provides the required centripetal force for the local Mercury to remain co-rotating with the overall rotation. This state of rotating liquid is referred to as 'solid body rotation'

If you would place an accelerometer somewhere on the dish then that accelerometer would neither slump down nor climb up to the perimeter; the local slope of the Mercury provides the required centripetal force.

You can calculate the acceleration that an accelerometer will register at some distance $r$ to the central axis of rotation.

The resultant acceleration is perpendicular to the local (Mercury) surface. The vertical component of the normal force acts in opposition to the vertical gravity that is present anyway, and the horizontal component of the normal force is providing required centripetal acceleration.



The rotating Earth

The rotating Earth is in hydrostatic equilibrium. At the Equator the distance to the geometric center of the Earth is larger than at the poles. The difference is about 21 kilometers.

The atmosphere of the Earth has the same thickness everywhere. That is, the atmosphere does not have a tendency to all flow to the Equator.

As mentioned earlier, at the Equator the distance to the Earth's geometric center is larger than at the poles. So: from the Equator to the poles is a downhill slope, just as the surface of a liquid mirror telescope is a downhill slope.

The effect is that at every latitude the effective gravitational effect is perpendicular to the local surface.


At the Equator objects have less weight than on other latitudes. To co-rotate with the Earth requires centripetal acceleration. Providing that centripetal acceleration goes at the expense of the true gravity.

The same effect is at play on all other latitudes, but you have to do a decomposition.

The required centripetal acceleration is perpendicular to the Earth's axis. You decompose that into a component parallel to the local surface, and a component perpendicular to the local surface.

For the weight effect only the component perpendicular to the local surface counts.


The Earth is an oblate spheroid, on which latitude is defined as geodetic latitude. On a sphere the natural definition of latitude is geocentric latitude. The difference between these two is extremely small, and only relevant for high performance applications such as the GPS system.

For your purposes the difference between geodetic latitude and geocentric latitude is negligable. That is: you can use geocentric latitude as if the Earth is a perfect sphere, while at the same time relying on the Earth's oblate shape to keep buoyant objects co-rotating at the same latitude.

Glorfindel
  • 1,424
  • 4
  • 17
  • 21
Cleonis
  • 24,617