I was reading "The young center of the Earth" by U.I. Uggerhøj et al., lately, and the standard gravitational redshift equation given in the paper is:
The link to the paper: https://arxiv.org/abs/1604.05507
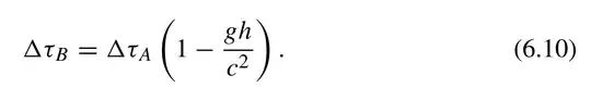
But the standard gravitational redshift equation given by J. B. Hartle in his book Gravity : an introduction to Einstein's general relativity is:
The link to the e-book: https://birmingham-primo.hosted.exlibrisgroup.com/permalink/f/14feaum/44BIR_ALMA_DS51174597710004871
The standard gravitational redshift equation was discussed in Chapter 6: Gravity as Geometry, pp. 113-117.
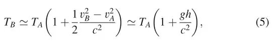
In order to understand the equation in the paper by Professor U.I. Uggerhøj et al., I searched up reference 3 given in the paper, "On the universality of free fall, the equivalence principle, and the gravitational redshift" by Professor A.M. Nobili et al., in which the equation for gravitational time dilation is given as follows:
this perhaps explains why the sign of equation (4) in Uggerhøj et al.'s paper is negative, since the sign would indeed be negative after applying binomial expansion to equation (5) in order to get the frequency.
But equation (5) is different from the equation given by Professor J. B. Hartle, which is:

And that brings my question, why are the signs different? I can see that their derivations/methods of the equations are different, but I couldn't think intuitively which one should be used to calculate the age difference between the Earth's surface and center and why. Maybe the sign difference is a question of different perspectives/viewpoints/observers that were used in the derivation?
Side note: just for the hell of it, I used J. B. Hartle's equation instead of U.I. Uggerhøj's to calculate the age difference between the Earth's centre and surface, and got a difference in days instead of years, which interestingly fits Richard Feynman's prediction, which Uggerhøj believes is wrong.
