I am reading the book on General Relativity by Bernard Schutz. In it he proves the invariance of the interval in special relativity using the following argument.
$S^2=0$ for all light-like paths. This directly follows from the postulates.
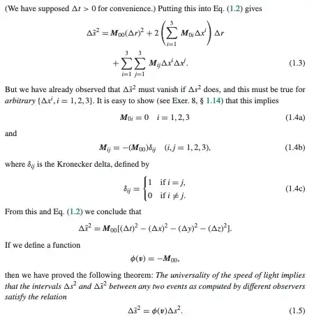
After this, he makes a coordinate transformation. Knowing that coordinate transformations are linear, he can say that the transformed interval is $S'^2=t'-r'=M_{\alpha\beta}x^\alpha x^\beta$.
Then he goes to argue that $M_{\alpha\beta}=\eta_{\alpha\beta}$, the minkowski metric, if $S^2=S'^2=0$. This is then taken as proof that $S^2$ is invariant between any two events.
My problem with this is that this seems circular and insufficient. If it is assumed that $S^2=0$ for light-like paths then $M_{\alpha\beta}=\eta_{\alpha\beta}$ by assumption. Also, it has not been proven that $S^2$ works for any event, only for light-like events.
What am I missing?
Here is the material for this proof in case I understood the proof wrong:
He then goes to argue that $\phi(v)=1$ but that is not relevant here.

