I'm going to work with gravitational potential, a scalar, rather than the gravitational field, a vector.
The deepest gravitational potential well in the solar system is that of the Sun. The next deepest well is that of Jupiter, but it is only 1% as deep. Earth's is 3000 times shallower.
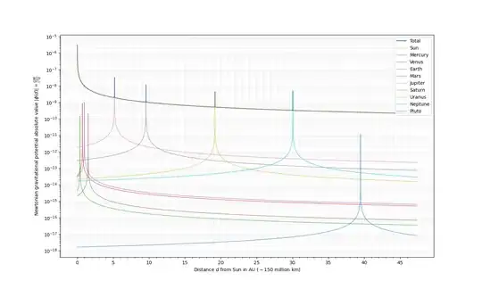
Suppose all the planets happened to line up in a row, but with their correct spacing based on the semimajor axis of their orbit. Then the gravitational potential along that line would look like this:

The horizontal axis is in astronomical units. The vertical axis is gravitational potential, normalized so that the potential at the center of the Sun is -1. That is 50 times further down than the graph goes.
The little dip of a few pixels at 1 AU is Earth's well, superposed on the Sun's well. You can also see an even smaller dip to the left around 0.7 AU which is Venus. Mercury and Mars's wells are too small to see. The four large dips are Jupiter, Saturn, Uranus, and Neptune.
The planets have such small radii compared with their distances from the Sun that their gravitational wells are basically just spikes when you look at the whole solar system out to 32 AU.
We can zoom in to the vicinity of Earth to look at its well in more detail:

At this scale, the Sun's well appears flat.
Here is a greyscale density plot of the gravitational potential in the ecliptic plane showing the outer planets Jupiter, Saturn, Uranus, and Neptune, in their relative positions today:

The Sun is at the center but its well has not been included because it makes it impossible to see the planets' wells. (They are too shallow by comparison, and there aren't enough shades of gray.) The planets' wells look big and blurry here because I've taken the logarithm of the potential to make the wells less spiky. Otherwise, you'd just see a pixel or two for them. The other planets' wells don't show up because their wells are so shallow.