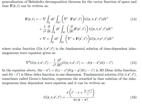
The paper Direct derivation of Lienard–Wiechert potentials, Maxwell’s equations and Lorentz force from Coulomb’s law by Hrvoje Dodig, purports to derive electrodynamics from Coulomb's law, without regard to special relativity, including the Lorentz force. This he does by, first, generalizing the Helmholtz decomposition:
This seems to fly in the face of explanations of the Lorentz Force as deriving from Lorentz contraction of charged particles in motion resulting in apparent changes of density of electric charge. Does this derivation, indeed, cover the observed phenomena?
