The above problem is taken from the 2014 $F=ma$ contest.
This question generated a great deal of controversy. At least two test takers challenged the answer, one who even tried to do the experiment. I’m told that several different “Ph.D” physicists declared that the correct answer was X, but, interestingly enough, couldn’t agree on what X should be.
In the YouTube poll the majority of people have chosen (C), however the correct answer is (B).
Veritasium took it to the next level, he rented a helicopter to reveal the real answer to the problem.
I would like to solve this problem using differential analysis, analogous to the catenary equation solved here.
First of all, the helicopter is travelling at constant speed, so we are dealing with an inertial reference frame. If the rope appears stationary to an observer in the helicopter, then the net force is null. The only forces to analyze are the gravity, the air resistance, and last but not least the tension in the rope. I have chosen a coordinate axis with the origin at the lower end of the rope, but it should be unimportant. The rope has unknown shape, so we are restricted on the assumptions we can make about the geometry of the rope -- we don't know that the correct answer is (B) yet.
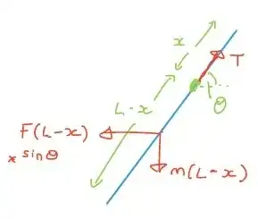
Consider a small mass element $\Delta{m}$ in the rope. Let's write all the forces acting on $\Delta{m}$:
Gravity pointing downwards. The mass is proportional to the linear density and the length. $$\vec{F_g}=-\Delta{m}g\hat{j}=-\lambda\Delta{s}g\hat{j}$$
Air resistance pointing backwards. The drag force is proportional to the cross sectional area, so proportional to the length of the vertical projection of $\Delta{m}$: $$\vec{F_d}=-\frac{1}{2}\rho v^2C_dA\hat{i}=-\alpha\Delta{y}\hat{i}$$
Tensions: $$\vec{T}(x)=-T(x)\cos\theta(x)\hat{i}-T(x)\sin\theta(x)\hat{j}$$ $$\vec{T}(x+\Delta{x})=T(x+\Delta{x})\cos\theta(x+\Delta{x})\hat{i}+T(x+\Delta{x})\sin\theta(x+\Delta{x})\hat{j}$$
Writing $\vec{F_\text{net}}=\vec{0}$ on the horizontal and vertical component:
$$T(x+\Delta{x})\cos\theta(x+\Delta{x})-T(x)\cos\theta(x)=\alpha\Delta{y}~~~(1)$$
$$T(x+\Delta{x})\sin\theta(x+\Delta{x})-T(x)\sin\theta(x)=\lambda\Delta{s}g~~~(2)$$
Divide both equations by $\Delta{x}$ and take $\lim\limits_{\Delta{x}\to0}$ to get to the differential form:
$$\frac{d(T\cos\theta)}{dx}=\alpha\frac{dy}{dx}$$
$$\frac{d(T\sin\theta)}{dx}=\lambda\frac{ds}{dx}g$$
In the catenary example we were lucky because we were able to easily eliminate $T$ from the equations, but here I can't find a way to simplify the system.
Also $\cos\theta=\frac{dx}{ds}$ and $\sin\theta=\frac{dy}{ds}$ are problematic.
How can I continue? Is this even going anywhere?
EDIT:
Equation $(1)$ tells that $T(x)\cos\theta(x)=\alpha y$, and also $T(x+\Delta{x})\cos\theta(x+\Delta{x})=\alpha(y+\Delta{y})$, taking into account that $T(0)=0$.
Substituting in equation $(2)$ leads to
$$\alpha(y+\Delta{y})\tan\theta(x+\Delta{x})-\alpha y\tan\theta(x)=\lambda\Delta{s}g$$
Again, dividing by $\Delta{x}$ and taking $\lim\limits_{\Delta{x}\to0}$ to get the differential form:
$$\alpha\frac{d(y\tan\theta)}{dx}=\lambda g\frac{ds}{dx}$$
Note that $\tan\theta=\frac{dy}{dx}$ and $ds^2=dx^2+dy^2$ according to the Pythagorean theorem.
$$\Rightarrow\alpha y\frac{d^2y}{dx^2}+\alpha\Big(\frac{dy}{dx}\Big)^2=\lambda g\sqrt{1+\Big(\frac{dy}{dx}\Big)^2}$$
$$\Leftrightarrow\alpha yy''+\alpha(y')^2=\lambda g\sqrt{1+(y')^2}$$
The differential equation in the general form is:
$$yy''+(y')^2=C\sqrt{1+(y')^2}$$
Almost diagonal!







