This is the case of a insufficient capillary tube.
The liquid can actually reach up to a height of >h ,but we have limited the height of the capillary tube and made it smaller than what actually the liquid can travel i.e "h".
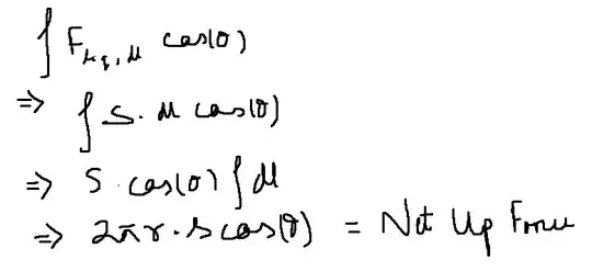
We choose a very small part of the circumference of the meniscus (and it's straight as its very infinitesimally small) and by the property of surface tension of a liquid ,the liquid wants it suraface area to be minimize thus it will put tangential force ,tangent to the curve of the meniscus, this force is F(dl,liq) i.e force by liquid present in the length "dl", on the a small part of the tube("dl") that is in contact with the liquid at the circumference of the meniscus. As forces occur in a pair ,thus there is a reaction force by the molecules of tube present in the length "dl" i.e F(liq,dl),on the molecules of liquid present at the part of circumference of the meniscus "dl".
Now, from the image ,by symmetry the horizontal components of the forces will cancel out and we are left with the vertical component of the force. This vertical component is responsible for the rise of the liquid.The total force acting on the meniscus to move it upward is-:
Now, Mg is the weight of the liquid of height "h". P(atm).πr^2 at the circumference of the meniscus is the force put by the atmosphere ,from above. P(atm).πr^2 at point B is the force put by the water from below, the pressure at B is P(atm) because of the theorem that for a continuous ,non accelerated and homogenous liquid the pressure at any point on a horizontal level is equal.
Now, if we take the cylinder of height "h",then by equating the forces we have the upward force on the water i.e 2πrScos(θ) and Mg in downward direction.
Now it is said that the water rises till the very end of the tube and then the curved part of the meniscus starts to rise and thus making the contact angle(θ) greater. and from this we can say that the upward force i.e 2πrScos(θ) decreases, and thus a time comes when it equals to Mg and hence the liquid stops from spilling.
But my question is the force 2πrScos(θ) is still acting on the circumference of the meniscus and as the molecules of the liquids are attached together hence the curved part of the meniscus rises. But as 2πrScos(θ) is still acting on the circumference, and as Mg less than 2πrScos(θ) (because of the less height of the capillary tube)hence the liquid at the circumference must rise and as the liquid was at the top ,thus it must spill, but this doesn't happen.So why does the liquid not move in upward direction even if the force 2πrScos(θ) is acting on it. Been searching for a reason for a longtime any help is appreciated.

