This is an example of the kind of discussion I am interested in.
Imagine we have a large rotating turntable, kind of like a merry-go-round, but made of some transparent material. On its surface, as well as on the floor beneath we have some Ho train tracks and trains (things moving at constant speed relative to the platform or to the floor). As well as some troughs with marbles (dynamically moving objects) rolling along them, and some marbles rolling freely on the platform, as well as on the floor.
I want to talk about the specific coordinates of each of these objects at specific times, and over a period of time. I want a vocabulary for such things as the location of a particular object at an instant in time, but that location is not moving with the object. It is a fixed "mark" on the platform and/or floor. Then I want to talk about future locations of both the platform and floor marks for that point.
Of particular interest would be a development of the kinematics of relatively rotating reference frames which makes no appeal to dynamics. That is, all reference frames (inertial or not) are treated equally. This should result in a formal structure much like the Lorentz boosts of special relativity.
Before assuming this is a naive question, please see my disorganized personal notebook [deleted per SE policy]
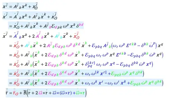
To give an example of the vocabulary and notation I am already familiar with, this is the component form of the equations of rotational kinematics derived in my notes (based on Introduction to Vector and Tensor Analysis, By: Robert C. Wrede):
And the standard terminology for those expressions:
I'm not claiming expertise in the field. And I remain open to the possibility that I have overlooked the obvious. In fact, I am saying that I am dissatisfied with my treatment of the subject. But, I have invested considerable effort to learn about it. I should also share that the notation I use in this notebook is not even consistent with the standard I endeavor to follow elsewhere in my notes.
I feel as if I am reinventing the wheel by creating my own vocabulary and notation for discussing the relationship between a rotating reference frame and an inertial reference frame. Typically, authors introduce just enough notation and vocabulary to get to the end of the chapter discussing the topic. Either that, or they leave it to the reader to sort out what they really mean.
I would like to find a text which presents a coherent comprehensive framework for this topic.
An example of where problems arise is the treatment of velocity. Kinetically, a velocity vector is simply the derivative of the position coordinates of a point mass with respect to time. For an inertial observer, this lines up nicely with the law of inertia. For a rotating observer using a coordinate system fixed in the rotating reference frame, velocity is again simply the time derivative of position coordinates. But a point mass moving with constant velocity defined in terms of the rotating frame must be subjected to forces in order to produce that motion.
Both observers are justified in representing this kinematic velocity as a vector. Both are justified in treating the path of a point mass moving with such a constant velocity as a line segment in their own coordinate system. But we cannot simply rotate a velocity vector defined in the inertial frame in order to produce a vector which a rotating observer would consider the velocity vector of the point mass. Derivatives of the coordinate transformation come into play.

