This is one of those "what if" fantasy world type questions. I like hard sci-fi so please no "well, you changed one thing about the world so now anything goes." :)
What if the Higgs had no vev?
That is essentially this question and I was charmed by Ron Maimon's excellent answer to it, but I was under the impression from this statement of his:
The massless electron will lead the electromagnetic coupling (the unHiggsed U(1) left over below the QCD scale) to logarithmically go to zero at large distances, from the log-running of QED screening. So electromagnetism, although it will be the same subgroup of SU(2) and U(1) as in the Higgsed standard model, will be much weaker at macroscopic distances than it is in our universe.
...
The combination of a long-ranged attractive nuclear force and a log-running screened electromagnetic force might give you nuclear bound galaxies, held at fixed densities by the residual slowly screened electrostatic repulsion. These galaxies will be penetrated by a cloud of massless electrons and positrons constantly pair-producing from the vacuum.
and recently reading about the log running in Shifman, Advanced Topics in Quantum Field Theory, that massless QED would be very weak at macroscopic distances. Of course, log running is slow so this seemed a little odd as well, so I decided to calculate.
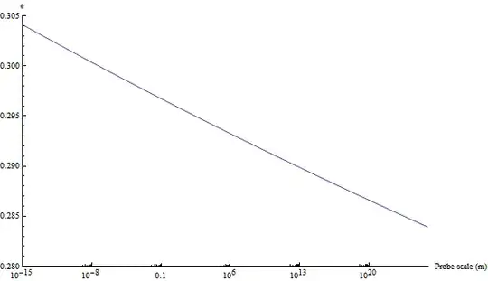
The (one loop) running coupling of QED with one massless charged fermion is
$$ e^2(p) = \frac{e^2(\mu)}{1-\frac{e^2(\mu)}{6\pi^2}\ln\frac{p}{\mu}}, $$
where $\mu$ is the arbitrary renormalization point and $p\sim 1/\ell$ is the scale of the probe. I took $\mu=1\ \mathrm{MeV}$ and set $e^2(\mu)=4\pi\alpha$ and got this:

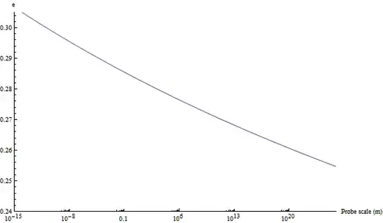
Note the scale. So the log running really is slow. Even at the Hubble scale the effective charge is only reduced by about 6%! Including $N$ massless charged flavours multiplies the beta function (yeah?):
$$ \frac{\mathrm{d}e}{\mathrm{d \ln\mu}} = N \frac{e^3}{12\pi^2}, $$
so the coupling becomes
$$ e^2(p) = \frac{e^2(\mu)}{1-\frac{N e^2(\mu)}{6\pi^2}\ln\frac{p}{\mu}}. $$
For the SM $N=3$ (assuming all the charged mesons are above 1 MeV - is this true?) this increases the running, but not much:

So EM is still sizable at cosmological distances if:
I didn't make any mistakes,
And the number of massless charged particles isn't too great.
This was somewhat surprising to me, though perhaps only because I misunderstood the assertion. It is certainly the case that atoms blow up (Bohr radius $a\sim1/\alpha m_e\to\infty$) so life is definitely not as we know it, but EM is still an important interaction at large scales - large enough to expect matter to form neutral conglomerates much smaller than galaxies. It is not at all clear to me that the dominant effect is an electrostatic repulsion that would stabilize any kind of nuclear bound galaxy. So:
What is the real phenomenology of the Higgs-less SM? Can anyone elaborate on Ron Maimon's vision?