A gas to liquid transition involves latent heat and is hence a first-order transition (apart from the critical point where transition happens with no coexistence).
The isotherms for this transition are shown below:

(image from Lumen Learning | Physics | Phase Changes)
On the liquid side, the isotherms are very steep - that means that the "phase" is purely liquid because this is nearly incompressible. The physical meaning attached to the flat isotherms is then that it's not all liquid, but there is still gas in there. As you reduce the volume, you are essentially only acting on the gas: the gas takes the volume of the container, so you are squeezing the gas, while the part that has condensed to liquid now occupies a smaller volume and is hence not "pushing" onto the walls. The increase of the gas pressure and the decrease of particles that contribute to it (because now in the liquid phase) cancel out. The pressure is hence constant and is equal to the saturation pressure.
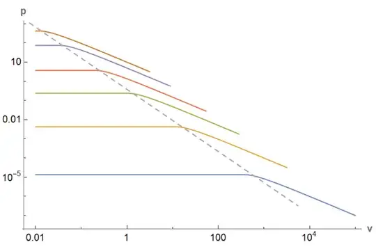
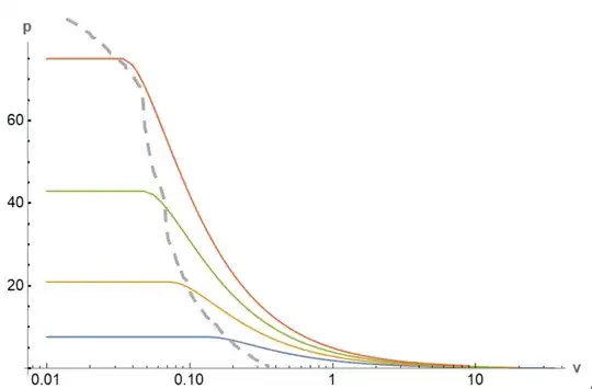
Bose-Einstein Condensation is a second-order (or continuous) transition, so the argument about latent heat does not apply. If you plot the isotherms, however, it is possible to discern a region of flat lines which is reminiscent of the gas-liquid transition above.
The plots below (linear-log, and log-log) are just for qualitative display. The units are at random. I drew the "region" with the dashed grey line.

But for a BEC you always have a co-existence of condensed and non-condensed (thermals) atoms, which also becomes a pure BEC at $T=0$. This "co-existence" though is not comparable to the gas-liquid transition, as there is no latent heat involved. It is purely driven by quantum statistics.
Addition after comments
Question: is a BEC a first-order (with latent heat) or second-order (no latent heat) transition?
In OP's book and indeed in a couple of problem sheets online, they say that the BEC "may be regarded" or "behaves kind of as" a first-order phase transition.
But, the canonical answer in the field is that a BEC is a second-order (or continuous) phase transition, because the order parameter varies continuously and the discontinuities only appear in the second derivatives of of the free energy, e.g. in the heat capacities.
The concept of latent heat in a BEC does not really make neither physical nor mathematical sense:
physical: The latent heat is the energy absorbed or released by a substance during a change in its physical state that occurs without changing its temperature. This definition assumes there are two clear phases: e.g. gas and liquid, and a region of co-existence in between them where the temperature is constant even though energy is consumed/released as it is "helping" all the particles to make the phase change.
mathematical: The latent heat $L$ is given by change in entropy $L \propto T \Delta S$ between the two phases. For a BEC, entropy is continuous at $T_c$ hence there is no such difference.
So, are these books wrong?
Yes, technically they are wrong.
But do they have a point?
Kind of. They are considering the BEC transition as between a "fully thermal" phase ($T>T_c$), and a "fully condensed" phase ($T=0$) - or equivalently for critical density/volume. And they consider the "phase" in-between to be the co-existence region.
I am not saying this is "wrong", but it is not the widely accepted view on the BEC transition.
Mathematically, they "kind of" have to fudge the result as well, in order to get a finite $L \neq 0$. I don't have your book but I found this pdf that seems to have the same discussion. Look at the $v_0$ term in eq.VII.58 and how it "disappears" in eq. VII.60. Why is the volume of the "final" phase considered to be $v_0 = 0$? If $v_0 = v^\ast$, then $L=0$.
The volume change in the liquid-phase transition is a consequence of the transition (e.g. ice takes up more space than the liquid), whereas here setting $v_0$ is just because you are manually saying "let's make the volume go to 0". But the system now has a constant pressure so changing the volume is up to "experimenter" not really a physical consequence of the system.