0

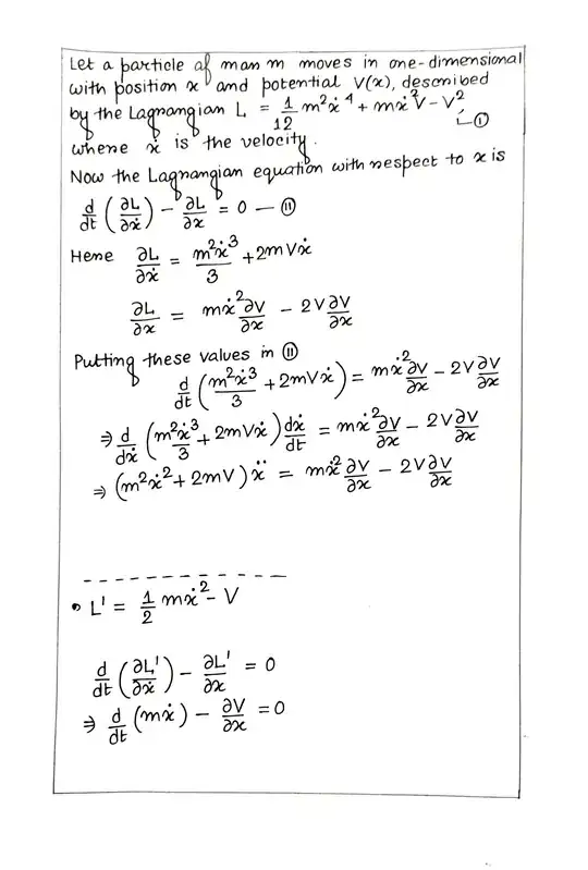
enter image description hereA particle of mass $m$ moves in one-dimension with position $x$ and potential $V(x)$, described by the Lagrangian $$ L = \frac{1}{12}m^2 \dot{x}^4 + m \dot{x}^2 V - V^2 $$ Show that the resulting equation of motion is identical to that arising from the usual Lagrangian $ L = \frac{1}{2}m \dot{x}^2 -V .$

BioPhysicist
  • 59,060

1 Answers1

-1

There is a minus sign missing at the end ($-(-V)=V$) and when taking the total derivative with respect to $t$ you forgot that the potential also depends on $t$: $V(x(t))$. Here is my solution:

Applying the Euler-Lagrange-Equations (1) to the first Lagrangian we get (assuming $V=V(x(t))$): $$\frac{\partial L}{\partial x}=-2V\partial_xV+m\dot x^2 \partial_x V\\ \frac{d}{dt}\frac{\partial L}{\partial \dot x}=\frac{d}{dt}\left[\frac{1}{3}m^2\dot x^3+2m\dot xV\right]=m^2\dot x^2\ddot x+2m\ddot xV+2m\dot x^2\partial_x V,\\ \frac{\partial L}{\partial x}\stackrel{(1)}{=}\frac{d}{dt}\frac{\partial L}{\partial \dot x}\Leftrightarrow -\partial_xV(2V-m\dot x^2+2m\dot x^2)=m\ddot x(m\dot x^2+2V),$$ Assuming kinetik Energy $\frac{1}{2}m\dot x^2$ is not equal to the potential Energy $V$ (else $L=0$ thus E-L-Eq. (1) yields a trivial solution with no information) $$\Leftrightarrow -\partial_xV=m\ddot x.$$ Which is the same result as the one that you get applying the Euler-Lagrange-Equation to the second "usual" Lagrangian.

Roger
  • 744