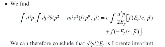
In a Pr. Badis Ydri's book, 'A Modern Course on QFT', the following integral is said to imply that $d^3p/2E_p$ is indeed a Lorentz invariant. How so ? Does it have to do anything with the notion of "test functions" ? (of which, I know nothing)
(I'm not sure that calling $d^3p/2E_p$ a measure is correct. If not, could someone correct my title, please ? Thank you.)

 
    