1

At same AoA,will flow separation starts earlier (point of separation more upstream) at higher airflow speeds (=higher air inertia) compare to lower airflow speeds?

High speed airflow has more air inertia so it seems inuitevly that air will harderd follow curved surface and leave surface earlier?

Question referes to subsonics speeds,but you can expand your answer at supersonic speeds as well.

enter image description here enter image description here

Anonymous
  • 133

4 Answers4

2

No, flow separation does not start earlier at higher airflow speeds.

The Reynolds number (a dimensionless parameter equal to Density * Speed * Chord / Viscosity) plays a central role in any discussion of flow separation (or other viscous effects). It can be thought of as a ratio of inertial forces (which tend to keep the flow attached), and viscous forces (which help trigger separation).

The Mach number can also be important, but the flows shown in the question appear to be common low-speed flows for which it can be assumed constant (or even zero).

When the speed of the oncoming flow is increased, the Reynolds number increases by the same factor. As the Reynolds number gets larger, boundary layers get thinner and viscous effects diminish, and eventually vanish. Inviscid flow solutions can be thought of as the limiting solutions as the Reynolds number approaches infinity.

The figure below shows the computed pressure distributions about a conventional airfoil at a large angle of attack and two values of the Reynolds number (plus the inviscid result). Instead of plotting the dimensional values of the pressure (which would vary by large factors), I've shown the dimensionless pressure coefficients, which are more commonly used and are more useful for comparisons. The regions of nearly constant pressure in the aft regions are indicative of trailing-edge separation, and the one with higher Reynolds number has a much smaller separated region. (And of course, the separation is entirely absent in the inviscid solution.)

It can also be seen that the gradients in the pressure coefficients get smaller as the Reynolds number increases. This tendency plays a key role in the resulting change in separation. It would not make sense to use the trends in the dimensional pressure distributions to explain these tendencies, because opposite trends would be observed if the Reynolds number were increased by changing the size of the airfoil, instead of the speed of the flow. enter image description here

D. Halsey
  • 2,253
1

No, flow separation is delayed by higher speed. Only when Mach effects enter the picture can an increase in speed produce earlier separation. To make sure this is not the case, look at airfoil data below Mach 0.3:

Lift coefficient over angle of attack for different speeds

Lift coefficient over angle of attack for different speeds (picture source)

Since the maximum lift coefficient is limited by increasing separation of the flow on the suction side, a delayed stall is equivalent to later separation at the same angle of attack. While the effect is small, it definitely exists.

The reason is the higher energy of the outer flow which keeps the boundary layer thinner and its speed profile fuller, thus pushing the flow at the wall on and helping it to sustain higher pressure gradients when flow speed is higher.

Peter Kämpf
  • 2,641
0

Generally speaking, yes -- for a fixed angle of attack, increasing the velocity will cause separation to occur earlier. It is not quite that simple, because flow regimes will change at certain speeds and alter the process (for example, laminar to turbulent or incompressible to compressible), but let's break it down.

We can start by looking at what happens in very, very slow flows. These are commonly called Stokes flow, or creeping flows. Under these conditions, the pressure gradients are very small and the only forces that really act on the fluid are viscous forces. Under this regime, there is no flow separation from the air foil, even for large angles of attack. The flow stays attached and moves smoothly over the body.

When the flow velocity starts to increase, we now start to get an increased importance of the pressure gradient forces on the flow. Let's think about the fluid particle as it is moving towards the leading edge of the airfoil... As it approaches the airfoil, it is going to start to feel the influence of the airfoil and start to move up or down to go around the body. Let's follow a particle that is moving over the top surface of the airfoil.

As the fluid particle starts to move over the leading edge, it starts to feel a contraction in the flow area. Since the flow is subsonic, this contraction in flow area leads to an acceleration of the fluid particle as it moves along the leading edge of the airfoil. If we were to measure the pressure along the airfoil leading edge, the pressure is decreasing as we move along the surface. The particle is experiencing a favorable pressure gradient and accelerating.

Once it gets to the top of the airfoil, it sees an expansion of the flow area. For a subsonic flow, this causes it to slow down. If we think again in terms of pressure along the top surface, the pressure is higher at the tail end of the top surface than it is at the leading edge of the top surface. The fluid particle feels an adverse pressure gradient slowing it down.

As the flow speeds increase, the pressure difference between the leading edge of the top surface and the tail of the top surface becomes larger. Since the airfoil is always the same length, a bigger pressure difference over the same distance is a stronger pressure gradient. And since the pressure is increasing along the surface, it is an adverse pressure gradient.

At some flow speed, this gradient will become strong enough to cause the fluid parcel moving along the top surface to stop completely before reaching the tail of the airfoil. This is when the flow separates. Going faster and faster will cause the separation point to happen sooner along the distance because the pressure gradient is stronger (and so the force slowing down the fluid particle is stronger).


That's the simplified overview of the process, but reality isn't as clear cut as that always. There are also going to be changes in flow regimes that may delay the separation point before it starts to move forward again.

For example, starting from very low speed flow and gradually increasing the speed, you may see separation start before turbulence begins to happen. This laminar separation point may move further up the surface of the airfoil until you reach a speed where now the boundary layer starts to be turbulent instead of laminar. This turbulent boundary layer may then reattach and you'll have a range of speeds, faster than ones that showed separation, where the flow stays attached.

If you keep speeding up, even the turbulent boundary layer may start to separate. And as you speed up more, that separation point will start to happen earlier. But then you might be getting fast enough that compression and shocks start to form, and now you're in yet another flow regime that will change the behavior.

It's likely that if you get to the point shocks are forming, the flow will separate wherever the shock is sitting. It might reattach, or it might separate and stay separated. If your shock is at the leading edge, you might have separated flow over the entire body of the airfoil for all speeds beyond that point.


Because there seems to be a lot of misunderstanding of the physics going on here, let's take a look at the momentum equation along the top surface of the airfoil under steady, incompressible conditions:

$$ \frac{\partial u}{\partial s} = -\frac{1}{\rho} \frac{\partial P}{\partial s} + \frac{1}{\text{Re}} \frac{\partial^2 u}{\partial n^2} $$

where $s$ is the coordinate along the top surface, $n$ is the direction normal to that top surface, $\text{Re} = u L / \nu$ is the Reynolds number. The pressure gradient is proportional to $u^2$ (the dynamic pressure) and the Reynolds number is obviously linear in $u$.

At very very low speeds, the Stokes flow regime, $\text{Re} << 1$ and the viscous term dominates completely. This regime shows no flow separation.

However, because $P \propto u^2$ and the viscous terms scale independent of $u$ (i.e. $1/\text{Re}\,\partial^2 u/\partial n^2 \propto 1$), as the speed increases, the pressure gradient becomes dominant relatively quickly. Because the pressure gradient continues to increase in this regime while the viscous terms remain relatively stable, this is what leads the Wikipedia page on flow separation mentioned in the comments to note:

... the separation resistance of a laminar boundary layer is independent of Reynolds number — a somewhat counterintuitive fact.

So now let's move on to a turbulent, subsonic boundary layer. In this case, the viscous term becomes more complicated because of the Reynolds stress tensor and it is no longer independent of velocity. However, the pressure term still is $P \propto u^2$ while the viscous term is proportial to something less (if I remember correctly, it is proportional to velocity to a fractional power less than one, but I can't find it in my notes).

This means increasing speed will increase the pressure gradient, and the pressure gradient term is of leading order, $\partial P/\partial s >> \frac{1}{Re} \partial^2 u /\partial n^2$. So increasing speed increases adverse pressure gradients, which can move the separation point forward on the upper surface.

Again returning to the comments and to Wikipedia:

A secondary influence is the Reynolds number. For a given adverse $du_o/ds$ distribution, the separation resistance of a turbulent boundary layer increases slightly with increasing Reynolds number.

The key to that statement is that $du/ds$ is given. But $\partial u/\partial s$ is not constant if you take a fixed geometry and a fixed working fluid and speed up -- $\partial u/\partial s \propto \partial P/\partial s \propto u^2$. The only way to increase Reynolds number while holding $\partial u/\partial s$ constant is to change the working fluid or change the body shape.


All together, this means for a subsonic flow, there are two regimes:

  1. Laminar -- the separation point is a function of pressure gradient alone and as the pressure gradient becomes more adverse, the separation point moves further up the top surface of the body (provided it is adverse enough to induce separation to begin with). This happens independent of Reynolds number.
  2. Turbulent -- the separation point is a function of pressure gradient to leading order, with higher order influence from the Reynolds number. As the body speeds up, the pressure gradient becomes more adverse, and the separation point moves further up the top surface of the body (provided it is adverse enough to induce separation to begin with).

Looking only at varying Reynolds number is misleading because increasing speed for a fixed body in a fixed fluid varies more than just Reynolds number.

Looking at lift coefficients is misleading because lift can continue to increase even while increasing portions of the surface exhibit separation, until the separation is catastrophic (stall).

tpg2114
  • 16,815
0

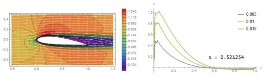
We can check with numerical method how the separation point depends on velocity. We use FEM code explained here and here for viscous flow with Max number < 0.3 and with free stream normalized velocity (not on the sound speed) $u_0=0.6667, 1, 1.333$. First we calculate velocity distributed around airfoil NACA2415 at angle of attack $\frac {\pi}{32}$ and plot velocity profile close to the upper surface at distance 0.005,.01, 0.015 from the surface to find separation point Figure 1
Then we recalculate velocity distribution with the same angle of attack but with higher velocity in the free stream Figure 2

As we can see from Figure 1 and 2 the separation point for higher velocity moves up on the flow. And finally we increase free stream velocity once again Figure 3
Free stream velocity computed for these three picture is $u_0=0.6667, 1, 1.333$, and separation point been determined as $x=0.642771, 0.564163, 0.521254$. Therefore we can confirm what tpg2114 discussed in his answer.
Update 1. We can also change angle of attack to $\frac{\pi}{8}$ and find out new separation point at $u_0=0.2, 1$. In this case we have quite different picture from above for $u_0=1$ (it is not sound speed!).

Figure 6

If the free stream velocity decreases down to $u_0=0.2$ then we have proportional move of separation point down to the stream Figure 7

Therefore for $u_0=0.2, 1$ we got separation point at $x=0.19, 0.098$ and hence we can confirm tpg2114 answer once again.

Alex Trounev
  • 3,854