-2

I am working through some questions and I am stuck on the working of this one:

enter image description here

Where the working to the answer is here:

enter image description here

Can someone explain the highlighted section as I can't see where it comes from?

Qmechanic
  • 220,844
Σ baryon
  • 161

1 Answers1

-1

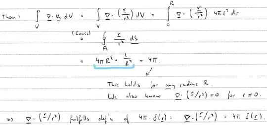
Here is the more explicit working I found for this question which is what I was interested in: enter image description here

Σ baryon
  • 161