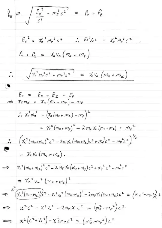
so I'm working on problem 12.60 from Griffiths EM, the goal of the problem is to find the threshold 3-momentum of a pion (as seen in the lab frame) in collision with a proton (at rest in the lab frame) so that $K$ and $\Sigma$ particles are produced. I have attached the work I've done so far on the problem, note that I am working in the lab frame, so the proton is at rest and the $K$ and the $\Sigma$ travel at the same velocity (this is the threshold condition for the $\pi$). I have ended up with a quadratic in $\gamma_K (m_K + m_\Sigma )$. My original thinking was if I could find $E_K + E_\Sigma = \gamma_K(m_K + m_\Sigma)c^2$, then I could find $E_\pi$ through conservation of energy and the 3-momentum of the pion would follow with
$$p_\pi = \sqrt{\frac{E_\pi^2}{c^2}-m_\pi^2c^2}.$$
However, solving the quadratic will leave you with $\gamma_K(m_K + m_\Sigma)$ as a function of $\beta_K := \dfrac{v_K}{c}$, thus still leaving one unknown ($v_K$) in the mix. I would appreciate any suggestions or help :)
Asked
Active
Viewed 218 times
0
1 Answers
0
My suggestion would be to use Griffiths' hint, i.e., examine first the collision in the COM frame. The key is to see what is the threshold condition in this frame.
- The total 3-momentum in the COM frame is of course zero, but in general the particles can have a non-zero 3-momentum in that frame. The threshold condition, then, is that every particle in the final state must have zero 3-momentum in the COM frame. The energy of the system in the COM frame will be just the sum of rest energies
$$E_{\rm COM}=(m_K+m_\Sigma)c^2\tag{1}$$
- The threshold condition in the LAB frame is (and only for this simple case), as you say, that the particles in the final state move with the same velocity, so that they are at rest with respect to each other. By conservation of 3-momentum, we know that their total 3-momentum is $p_K+p_\Sigma=p_\pi$. So in the LAB frame, we can imagine the system $K+\Sigma$ as something moving with 3-momentum $p_\pi$ and having a "rest energy" equal to $E_{\rm COM}$ (think about this). The energy of this system in the LAB frame is then
$$E_{\rm LAB}=\sqrt{E_{\rm COM}+p_\pi^2}\tag{2}$$
- Write down the energy of the initial state in the LAB frame as a function of $m_p,\ m_\pi$ and $p_\pi$. By conservation of energy, it is equal to $(2)$. You should get an equation with only $p_\pi$ as the unknown.
Urb
- 2,724