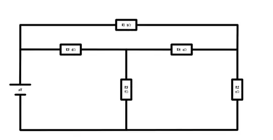
How do I calculate the effective resistance of this circuit? Using only the two formulas: $$\frac{1}{R_{Total}} = \frac{1}{R_1} + \frac{1}{R_2} + \frac{1}{R_3} + \cdots$$ and $$R_{Total} = R_1 + R_2 +R_3$$
I know how to calculate current and voltage using the node voltage method and thus derive the resistance. but I'm wondering how do I get the resistance using strictly only the two resistance formula?
