2

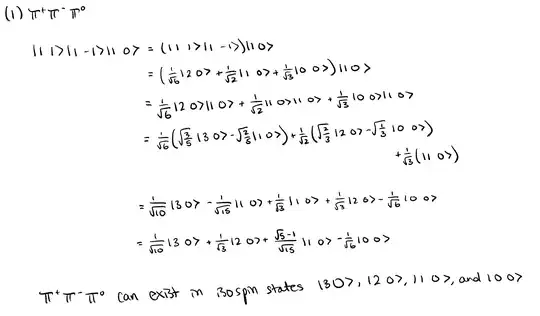
I've been calculating the possible isospin states for $\pi^0\pi^+\pi^-$ state and get this as my final answer after referencing the Clebsch Gordan Coefficients table:

$$\frac{1}{\sqrt{10}}|30\rangle+\frac{1}{\sqrt{3}}|20\rangle+\frac{\sqrt{5}-1}{\sqrt{15}}|10\rangle-\frac{1}{\sqrt{6}}|00\rangle$$

However, if I square the magnitudes in front of the kets and sum them, I don't get one, and this is because of the factor of $\frac{\sqrt{5}-1}{\sqrt{15}}$ which comes from the fact that I added the $\pi^+\pi^-$ first, which gave a $|20\rangle$, $|10\rangle$, and $|00\rangle$ state. Adding the $\pi^0$ to this gives a state of $|10\rangle$ from both adding $|2 0\rangle|10\rangle$ and $|00\rangle|10\rangle$, which gives me that factor of $\frac{\sqrt{5}-1}{\sqrt{15}}$ in total. Is there any reason why the sum of the squares doesn't add to one? Or is my calculation wrong? Here's all of my work if it helps:

enter image description here

Urb
  • 2,724

1 Answers1

0

You appear to suspect your conceptual error when you assume the two isotriplet pieces you found in your stepwise composition are identical, when, in fact, they are independent, and orthogonal! The correct answer, is instead, $$\frac{1}{\sqrt{10}}|30\rangle +\frac{1}{\sqrt{3}}|20\rangle +\frac{\sqrt{5}} {\sqrt{15}}|10\rangle -\frac{ 1} {\sqrt{15}}|10\rangle ' -\frac{1}{\sqrt{6}}|00\rangle ,$$ where the isovector states $|10\rangle$ and $|10\rangle'$ are orthogonal to each other and the other states, isoscalar and isotensors. Now your answer is normalized to one, as you may check.

The generalists will send you off to learn about Racah coefficients, but, in your case, the two states are evident by inspection, displaying the $I_3$ components of the respective wave functions you found, with very different symmetries, ensuring their mutual orthogonality,
$$ |10\rangle = (\uparrow \downarrow 0 + \downarrow \uparrow 0 - 0\uparrow \downarrow - 0 \downarrow \uparrow )/2\\ |10\rangle '= (\uparrow \downarrow 0 - \downarrow \uparrow 0 + 0\uparrow \downarrow - 0 \downarrow \uparrow )/2 ~. $$

Cosmas Zachos
  • 67,623