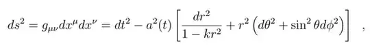
Given the Robertson-Walker metric
for a scalar field $\phi(t)$, how can we obtain the equation of motion for this scalar field?
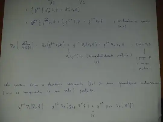
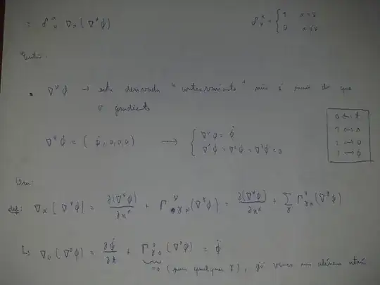
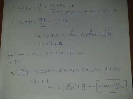
I took the contravariant derivative of the scalar field is which is nothing more thant the gradient of that same field and then I applied the covariant derivative to that quantity, since the gradient of the scalar field is a vector, I took the covariant derivate of his components, which are by themselfs contravariant, although the spatial components of the 4-vector are zero the Christoffel are not, therefore having a component that is not zero and is $H\dot{\phi}$ ,where H is $H = \frac{\dot{a(t)}}{a(t)}$.
Finally, is this approach right? If not, how would you approach it?




