5

I am computing the Boltzmann equation for Photons from the book "Modern Cosmology" by Scott Dodelson.

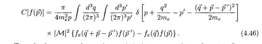
This is the colission term from Compton scattering

enter image description here

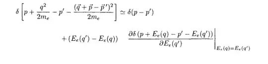
Then, the Dirac delta is expanded

enter image description here

I am trying to understand how to expand the Dirac delta function and also how to derivative it. I don't know if it's possible. The book is very clear but my problem is whith the calculus of Delta Dirac.

Pictures are in page 96(https://altexploit.files.wordpress.com/2017/05/scott-dodelson-auth-modern-cosmology-academic-press-2003.pdf)

Qmechanic
  • 220,844

2 Answers2

4

Expanding the Dirac Delta

I'm no expert, but this seems to be very sloppy mathematics, even for a Physics textbook.

Essentially what the author is trying to do there is perform a Taylor Series expansion on the Dirac Delta function. The problem with this is that the Dirac Delta function is not a "function" in the mathematical sense but a generalised function or a distribution. As such, it is not obvious to me that it has a Taylor Expansion.

Nevertheless, it is possible to write the $\delta(x)$ function as the limit of series of continuous functions (my favourite is:

$$\delta(x) = \lim_{a\to0}\delta_a(x) , \quad \quad \text{ where }\quad \delta_a(x) = \frac{1}{\sqrt{2\pi a^2}}e^{-x^2/2a^2},$$

a limit of squished Gaussians), and I assume that you can expand $\delta_a(x)$ however you wish since it's smooth and well behaved for all $a\neq 0$. Perhaps this is the author's justification? I don't know. But the rest is straightforward.

The Derivative of the Dirac Delta Function

The point to remember is that all of the operations with a Dirac Delta that make sense occur within an integral. The $\delta-$function itself is usually defined using a test function $f(x)$, in that

$$\int_{-\infty}^\infty\delta(x-x_0) f(x) = f(x_0)$$

What about the "function" $\delta'(x-x_0)$? Well, we can try to find a similar definition by acting it on a test function $f(x)$ and integrating over all $x$:

$$\int_{-\infty}^\infty\delta'(x-x_0) f(x) = \delta(x-x_0)f(x)\Bigg|_{-\infty}^\infty -\int_{-\infty}^\infty\delta(x-x_0) f'(x)$$

In the second step I have just integrated by parts. Clearly, since the $\delta-$function is zero at $\pm \infty$, this just means that

$$\int_{-\infty}^\infty\delta'(x-x_0) f(x) = -\int_{-\infty}^\infty\delta(x-x_0) f'(x) = - f'(x_0),$$

using the definition of $\delta(x-x_0)$ from above. In other words, while the $\delta-$function "picks out" a particular value of a test function $f(x)$, the derivative of the delta function "picks out" a particular value of the (negative of the) derivative of $f(x)$.

As far as I can see, these are the only "delta-function" identities that are used in the derivation.

Philip
  • 11,520
0

For those who stumble upon this question in the new edition of Dodelson's book, here is a somewhat straightforward approach to the answer.

A Taylor expansion has the following form, to first order:

$$ f(x) \simeq f(x_0) + \frac{\partial f(x_0)}{\partial x}(x-x_0) $$ Then, for a translated function: $$ f(x-a) \simeq f(x_0) + \frac{\partial f(x_0)}{\partial x}((x-a)-x_0) $$ Note: There are no changes to the differentiation because we assume "a" is a constant, so $d(x-a) = dx$

In our case, for $x_0 = p − p′$, we have: $$ \delta_D(p − p′ + E_e(q) − E_e(|q + p − p′|)) \simeq \delta_D(p − p′) + \frac{\partial \delta_D(p − p′)}{\partial p}((p − p′ + E_e(q) − E_e(|q + p − p′|)) - (p − p′)) $$ Using equation 5.14 from the book to simplify, we obtain the second line: $$ \delta_D(p − p′) + \frac{(p' - p)\cdot q}{m_e} \frac{\partial \delta_D(p − p′)}{\partial p} $$