The neutrino number density is essentially fixed by the thermal history of the Universe. At temperatures above $\sim 1$ MeV there are abundant electrons and positrons in the universe and the number density of neutrinos is kept in equilbrium by reactions like $\nu + \bar{\nu} \leftrightarrow e^+ + e^-$. The interaction cross-section for these interactions is very energy (and hence temperature dependent) and once the temperature drops below about 1 MeV, the expansion rate of the universe exceeds the interaction rate and the number of neutrinos in the universe is essentially fixed at that point and can be calculated. The density is then modified by the expansion of the universe while conserving the number of neutrinos.
In the standard model that is pretty much it, the number of neutrino types is equal to the number of charged lepton types. However there may be other types of neutrino - e.g. Sterile neutrinos - which may interact gravitationally and not via any of the other standard model interactions. These may be massive and have been produced at earlier epochs than the conventional neutrino freeze-out.
Some constraints on the properties of neutrinos and number of neutrino familes can be provided by the cosmic microwave background measurements like Planck (e.g. Lattanzi 2016; Knee et al. 2019). The data are consistent with 3 neutrino types and pretty much rule out any possibility that there are any more that thermally decoupled at a similar epoch, but non-thermally produced keV-mass sterile neutrinos are still being considered as dark matter candidates (e.g.Boyarsky et al. 2019).
As far as clustering and anisotropies are concerned, the crucial point is how slow the neutrinos are travelling with respect to the characteristic escape velocities of galaxies (600 km/s) and clusters (2000 km/s).
If you assume a rest mass of 0.1 eV, use the 1.95K temperature and the Maxwell-Boltzmann distribution, you get an rms speed of 21,000 km/s. But this is wrong.
The neutrinos maintain their relativistic Fermi-Dirac distribution as they cool, with much lower occupation of high energy states. In fact the distribution of momentum does not depend on the neutrino mass.
$$F(p,T) = \frac{1}{\exp(pc/kT) + 1}$$
As the universe expands, the de Broglie wavelength of particles (ass seen in a comoving frame of reference) is stretched by a factor equivalent to the scale factor of the universe $a \propto (1+z)^{-1}$. Thus the momentum $p \propto (1+z)$. The energy of relativistic particles also goes as $(1+z)$, but once neutrinos become non-relativistic (see below), their kinetic energies scale as $p^2/2m_{\nu}$ and fall as $(1+z)^{2}$ (see Rahvar 2006).
The net effect of this is that the average speed of the neutrinos is given by (see Safdi et al. 2014).
$$\left<v\right> = 160 \left(\frac{m_{\nu} c^2}{{\rm eV}}\right)^{-1} \ (1+z)\ \ \ {\rm km/s}$$
Neutrino masses are still not fully constrained. At least two of the three flavours must have masses $0.05<m_{\nu}c^2 <2$ eV that make them non-relativistic at the current epoch. The total neutrino mass (all three flavours) is probably less than 2 eV from beta decay experiments; but some cosmological constraints using galaxy clustering data and the cosmic microwave background suggest this could be as low as $<0.5$ eV (Guisarma et al. 2013).
Thus neutrino speeds are likely to be low enough ($m_{\nu}c^2 \sim 0.2$ eV; $\left<v\right> \sim 800$ km/s), that they are affected by the Galactic potential.
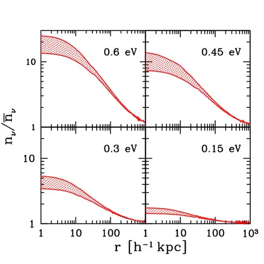
The following plots from Ringwald (2009) illustrate calculations of the neutrino momentum spectrum and the consequent way those neutrinos will be clustered in our Milky Way galaxy as a function of radius, for several possible neutrino rest masses. There is not much effect until neutrino masses exceed 0.1 eV and their average speed becomes comparable to the escape velocity of the Galaxy. Above this, then the local neutrino density becomes very significantly larger than the average of 56 cm$^{-3}$ per neutrino flavour.
You can also see from the upper plot that the momentum distribution is characteristic of a partially degenerate fermion gas, that becomes more degenerate as the neutrinos become more massive and more clustered.

Whatever the local density of the neutrino background, the distribution is expected to be isotropic with a small dipole moment superimposed. This is analogous to the dipole moment in the cosmic microwave background. If neutrinos are not bound to the Galaxy then the Earth will be bathed in a warm neutrino wind that travels past us at around $v_w\sim 370$ km/s (annually modulated by the Earth's velocity around the Sun [30 km/s], resolved in the direction of the Sun's motion with respect to the local co-moving cosmological frame). If the neutrinos are bound to the Milky Way, then this cold wind will be at around $v_w \sim 220$ km/s annually modulated by the Earth's velocity resolved in the direction of the Sun's motion around the Galaxy. The amplitude of the dipole is roughly 1 percent ($\pm v_w/c$) and the modulation is $<0.1$ percent.
A bigger annual modulation would be caused by gravitational focusing (Safdi et al. 2014) by the Sun and also depends upon whether the neutrinos are bound to the Galaxy or not. The Earth is bathed in a higher relic neutrino density when it is "downwind" of the Sun. Cold, bound neutrinos are expected to be orbiting in the Galactic potential and the Sun moves through these at a speed of $\sim 220$ km/s. Considering the inclination of the ecliptic plane to the Galactic plane, it turns out the focusing effect is maximised in March, with an amplitude of a few tenths of a percent. If the neutrinos are less massive and unbound, then the Sun's motion of 370 km/s with respect to the comoving rest frame defines the wind direction, and the orbital geometry means that the modulation would be maximised in September, with an amplitude that is quite dependent on the neutrino mass, but could be as high as 1 percent for a 0.35 eV rest mass.