One of the reasons stems from extreme value statistics. Objects break at their least resistant (call it softest) spot. The probability of having a softer spot is larger in a larger object.
You could think of a chain with $N$ links. Each link has a maximum force it can bear, $F$. Since links are not all the same, $F$ comes from a probability distribution, $P(F)$. Then the resistance to tear of the entire chain is the minimum $F$ out of $N$ values. So now you have $F_1, F_2, ..., F_N$ values but the overall force the chain can bear is the minimum out of those. The larger the number of the links $N$, the larger the probability you'll find a weaker link. The weakest link hypothesis and the resulting extremal statistics is widely used in mechanical engineering to estimate the yield strength of various materials and structures.
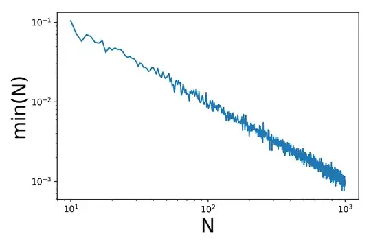
If you code a little, you can play around yourself: throw $N$ random numbers according to any distribution and take the minimum of these. You can average over several independent runs, and get the average minimum value out of $N$ random numbers. Then see how this average minimum value changes with $N$. Below is a small Python code that just does that:
import numpy as np
import pylab as pl
min_N = []
for N in range(10,1000):
min_current = 0
for realizations in range(100):
min_current+=np.min(np.random.rand(N))/100.0
min_N.append(min_current)
pl.loglog(range(10,1000), min_N)
pl.xlabel('N', fontsize=22)
pl.ylabel('min(N)', fontsize=22)
and the result:

So now you can see that the minimum of $N$ uniformly distributed random numbers (i.e. the strength of the chain) decreases with $N$. This is a log-log plot so looks like it decreases as a power law.
Edit: why do objects have soft spots? There are multiple reasons:
- Objects are typically inhomogeneous at scales larger than a few tens of atoms/molecules. Crystalline objects have defects such as dislocations or disclinations which cause non-homogeneous stress fields in the materal; wherever the stress is the largest, the object is softer and tends to break there. Amorphous materials are heterogeneous by definition.
- Even if materials were completely homogeneous, the external load on them is heterogeneous: a hit from the floor is not an evenly distributed load on the boundaries so within the material stresses will be inhomogeneous.
- Finally, even if the load was evenly distributed on the boundary, objects' boundary shape is irregular which again causes non-uniform stress fields in the material.
To summarize, the fracture nucleation is an interplay of two effects: soft spots in the material and non-uniform stresses throughout the material. This is the reason why materials break at different spots depending on the external load they experience: a spot might be soft (susceptible to break, for instance, due to atomic ordering defects), but it ultimately depends on the load (and the associated non-uniform stress field) whether it will break at that spot or somewhere else.
In a simple minded model, you could think of the material as lattice sites, each of them having a $\sigma_Y(\vec{r})$ yield stress they can bear (note that this yield stress depends on the position and is related to the local atomic structure). Then the external load (coming from a hit from the floor or other strain) causes a stress $\sigma(\vec{r})$ (again, non-uniform due to the reasons stated above) in the material. The material will break at the spot where $\sigma_Y - \sigma$ is the smallest (out of all spots).