6

Metric = (-+++), complex $i$'s are ignored.

Using the following decompositions of the Poincaré generators,

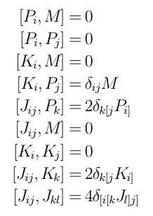
enter image description here

I can write the Poincaré algebra as

enter image description here

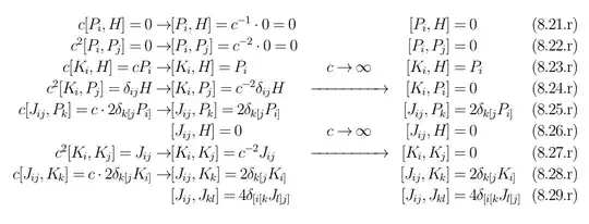
I can get the Galilei algebra using the following redefinitions,

enter image description here

and then taking the limit $c\rightarrow \infty$

enter image description here


The centrally extended Galilei algebra is the Bargmann algebra.

One cannot go straight from Poincaré to Bargmann though

enter image description here

enter image description here

I am trying to work out the new contraction C ' so that the following diagram commutes

enter image description here

My attempt was the following

enter image description here

where after making those redefinitions and taking the limit c to infinity, I get

enter image description here

This is wrong. I am missing the $$ [K_i,H] = P_i $$ of the standard Galilei algebra


One of my attempts at making sense of this was

enter image description here

but this is incorrect.


The correct answer is given in the following reference

E. Bergshoeff, J. Gomis, and P. Salgado-Rebolledo, “Non-relativistic limits and three-dimensional coadjoint Poincare gravity,” arXiv:2001.11790[hep-th].

The key is to augment the limit I have above (my equations 8.30-8.33, the above reference's equations 2.4.a-2.4.d) by the following

\begin{equation} \tilde{H} \rightarrow Mc^2 + \frac{1}{2} H \end{equation}

\begin{equation} \tilde{M} \rightarrow -Mc^2 + \frac{1}{2} H \end{equation}

where $\tilde{M}$ is the generator of the $\mathfrak{u}$(1) we added.

So the full set of redefinitions to bring Poincaré $\oplus$ $\mathfrak{u}$(1) to the Bargmann is

\begin{eqnarray} \tilde{J_{ij}} &\rightarrow& J_{ij} \label{lim1}\\ \tilde{H} &\rightarrow& Mc^2 + \frac{1}{2} H \\ \tilde{K_{i}} &\rightarrow& c K_i \label{lim3}\\ \tilde{P_{i}} &\rightarrow& c P_i \label{lim4} \\ \tilde{M} &\rightarrow& -Mc^2 + \frac{1}{2} H \end{eqnarray}

My confused lies in where I implement this redefinition of $\tilde{M}$. I was under the impression that this trivial extension of Poincaré did not alter the algebra. Since $\tilde{M}$ is in the center, it commutes with all the normal Poincaré generators and doesn't add any information.

enter image description here

This is clearly false. The algebra is 11-dimensional now after all, not 10-dimensional.

Can anyone give me some instruction on how I implement the redefinition $$ \tilde{M} \rightarrow -Mc^2 + \frac{1}{2} H $$

in the Poincaré $\oplus$ $\mathfrak{u}$(1) Lie algebra?

Lopey Tall
  • 1,121

2 Answers2

5

As explained in the beginning of section 2.2.2 in Ref. 3 let us distinguish between 3 algebras:

  • The (centrally extended) Poincare algebra in $n$ spacetime dimensions, whose generators we will adorn with a hat.

  • The redefined relativistic algebra with $c$-dependent structure constants. Its generators we will adorn with a subscript $c$.

  • Its $c=\infty$ limit, the Bargmann algebra, whose generators we will adorn with a subscript $\infty$.

In the limit $c\to\infty$ we need to recover the Bargmann algebra. The most important Poisson commutation relations$^1$ in this context are $$\begin{align}\{ B_{\infty}^i,H_{\infty}\}~=~p_{\infty}^i & \qquad\text{and}\qquad \{ p_{\infty}^i, B_{\infty}^j\}~=~m_{\infty}\delta^{ij}, \cr & i,j~\in~\{1,2,\ldots, n\!-\!1\}.\end{align}\tag{A}$$

We will assume that $$ \begin{align} \hat{p}^i~=~p_c^i,& \qquad \hat{J}^{ij}~=~J_c^{ij} ,\qquad \hat{J}^{0i}~=~cB_c^i, \cr & i,j~\in~\{1,2,\ldots, n\!-\!1\}.\end{align} \tag{B}$$

To recover the Bargmann algebra we then only need that

$$ \hat{p}^0 -\frac{H_c}{c}~\propto~c\hat{m}\qquad\text{and}\qquad \hat{p}^0 -cm_c~=~{\cal O}(c^0).\tag{C}$$

In Ref. 1 and my Phys.SE answer here the simplest ansatz is assumed: $$ \hat{p}^0 -\frac{H_c}{c}~=~c\hat{m}\qquad\text{and}\qquad \hat{m}~=~m_c,\tag{D}$$ but this is not necessary, cf. Refs. 2-4. Further requirements come if one imposes supersymmetry, cf. Refs. 2-4.

References:

  1. R. Andringa, E. Bergshoeff, S. Panda & M. de Roo, Newtonian Gravity and the Bargmann Algebra, arXiv:1011.1145; eqs. (4.2) & (4.4). Here $\hat{m}=m_c$ are the same.

  2. R. Andringa, E.A. Bergshoeff, J. Rosseel & E. Sezgin, Newton-Cartan Supergravity, arXiv:1305.6737; eqs. (3.3) & (3.4). Here there is no $\frac{1}{2}$ in eq. (3.3). Therefore an extra assumption $\{B_c^i,m_c\}=0$ is needed.

  3. E. Bergshoeff, J. Rosseel & T. Zojer, Newton-Cartan (super)gravity as a non-relativistic limit, arXiv:1505.02095; eqs. (13) & (14) + eqs. (40) & (41). From now on there is a $\frac{1}{2}$ in eq. (13) & (40).

  4. E. Bergshoeff, J. Gomis & P. Salgado-Rebolledo, Non-relativistic limits and three-dimensional coadjoint Poincare gravity, arXiv:2001.11790; eqs. (2.3) & (2.23).

--

$^1$ Notation: In Refs. 1-4 a factor of $i$ is apparently absorbed into the definition of their commutator $[,]$, so that it is effectively a Poisson bracket (up to operator ordering issues).

Qmechanic
  • 220,844
1

Motivated by breaking up "relativistic" energy ($\tilde{H}$) into rest mass energy (M$c^2$) and non-relativistic kinetic energy (H) we add the following redefinition $\tilde{H} \rightarrow M c^2 + \frac{1}{2}H.$ And further, motivated by the equivalence of mass and energy in relativity, we define a mirrored redefinition for $\tilde{M}$ given by $\tilde{M} \rightarrow -M c^2 + \frac{1}{2}H.$ See equation 2.23 of Ref [1]

So all in all we have

\begin{align} \tilde{J_{ij}} &\rightarrow J_{ij} \label{newc1}\\ \tilde{H} &\rightarrow M c^2 + \frac{1}{2} H \label{newc2}\\ \tilde{K_{i}} &\rightarrow c K_i \label{newc3}\\ \tilde{P_{i}} &\rightarrow c P_i \label{newc4} \\ \tilde{M} &\rightarrow -M c^2 + \frac{1}{2}H \label{newc5} \end{align}

It will turn out that we ought to define a bit more before taking the $c\rightarrow \infty$ limit. But to show what goes wrong, we will include the calculation of applying only these to Poincaré $\oplus$ $\mathfrak{u}$(1).

First, make the re-definitions prescribed

\begin{align} [\tilde{P_i},\tilde{H}] &= 0 & \longrightarrow && [P_i,M] + \frac{1}{2} c^{-2} [P_i,H] &= 0 \\ [\tilde{P_i},\tilde{P_j}] &= 0 & \longrightarrow && [P_i, P_j] &= 0 \\ [\tilde{K_i},\tilde{H}] &= \tilde{P_i} & \longrightarrow && [K_i,M]+\frac{1}{2}c^{-2}[K_i,H] &= c^{-2} P_i \\ [\tilde{K_i},\tilde{P_j}] &= \delta_{ij} \tilde{H} & \longrightarrow && [K_i,P_j] &= \delta_{ij} (M + \frac{1}{2}c^{-2}H) \\ [\tilde{J_{ij}},\tilde{P_k}] &= 2 \delta_{k[j}\tilde{P_{i]}} & \longrightarrow && [J_{ij},P_k] &= 2 \delta_{k[j}P_{i]} \\ [\tilde{J_{ij}},\tilde{H}] &= 0 & \longrightarrow &&[J_{ij},M] + \frac{1}{2} c^{-2}[J_{ij},H] &= 0 \\ [\tilde{K_i},\tilde{K_j}] &= 0 & \longrightarrow && [K_i,K_j] &= 0 \tag{\discolorlinks{\ref{8}}.d} \\ [\tilde{J_{ij}},\tilde{K_k}] &= 2 \delta_{k[j}K_{i]} & \longrightarrow && [J_{ij},K_k] &= 2 \delta_{k[j}K_{i]} \\ [\tilde{J_{ij}},\tilde{J_{kl}}] &= 4\delta_{[i[k}\tilde{J}_{l]j ]} & \longrightarrow && [J_{ij},J_{kl}] &= 4\delta_{[i[k}J_{l]j ]} \end{align}

Taking the $c\rightarrow \infty$ limit we have

\begin{align} [P_i,M] + \frac{1}{2}c^{-2} [P_i,H] &= 0 & \longrightarrow && [P_i,M] &= 0 \\ [K_i,M]+\frac{1}{2}c^{-2}[K_i,H] &= c^{-2} P_i & \longrightarrow && [K_i,M] &= 0 \\ [K_i,P_j] &= \delta_{ij} (M + \frac{1}{2}c^{-2}H )& \longrightarrow && [K_i,P_j] &= \delta_{ij} M \\ [J_{ij},M] + \frac{1}{2}c^{-2}[J_{ij},H] &= 0 & \longrightarrow && [J_{ij},M] &= 0 \end{align}

All in all we are left with

\begin{align} [P_i,M] &= 0 \\ [P_i, P_j] &= 0 \\ [K_i,M] &= 0 \\ [K_i,P_j] &= \delta_{ij} M \\ [J_{ij},P_k] &= 2 \delta_{k[j}P_{i]} \\ [J_{ij},M] &= 0 \\ [K_i,K_j] &= 0 \\ [J_{ij},K_k] &= 2 \delta_{k[j}K_{i]} \\ [J_{ij},J_{kl}] &= 4\delta_{[i[k}J_{l]j ]} \end{align}

Notice why this is wrong. We have lost information about the algebra. Notably equation 4.4 of Ref [2], $[K_i,H]=P_i$.

Taking a look at $[K_i,M]+\frac{1}{2}c^{-2}[K_i,H]=c^{-2} P_i$ it seems we lost the information about $[K_i,H]$ by taking the limit to get to $[K_i,M] = 0$.

Maybe having two commutators on the left hand side is special? Two unknowns so we need to take the limit twice? Notably, what is we FIRST took the c to infinity limit to get $[K_i,M] =0$, then used $[K_i,M] =0$ as a fact, to write instead

\begin{align} \notag [\tilde{K_i},\tilde{H}] = \tilde{P_i} \longrightarrow [cK_i,Mc^2+\frac{1}{2}H] &= cP_i\\ \notag c^3[K_i,M]+\frac{1}{2}c[K_i,H] &= cP_i \\\notag 0+c[K_i,H] &= cP_i \\ [K_i,H] &= P_i \label{missinglink} \end{align}

Using the result of the limit in taking this new limit is not concrete.

It turns out there is a way to more elegantly take this limit. What if, as opposed to only looking at what the relativistic generators are sent to, we look at what the non-relativistic generators $J_{ij},K_i,P_i,H,$ and $M$ are sent to as well? The above redefinitions are certainly invertible maps. Adding and subtracting the non trivial ones gives us

\begin{align} J_{ij} &\rightarrow \tilde{J_{ij}} \label{correctc1}\\ H &\rightarrow \tilde{M} + \tilde{H} \label{correctc2}\\ K_i &\rightarrow c^{-1} \tilde{K_{i}} \label{correctc3}\\ P_i &\rightarrow c^{-1} \tilde{P_{i}} \label{correctc4} \\ M &\rightarrow \frac{1}{2} c^{-2} \tilde{H} - \frac{1}{2} c^{-2} \tilde{M} \label{correctc5} \end{align}

Now the unique part. We want the commutation relations for the non-relativistic algebra right? Well instead of taking the limit of the relativistic algebra's commutation relations, let's go right to the NR commutators. We will \newline write all the possible commutators given the NR generators $J_{ij},K_i,P_i,H,$ and $M$,

plug in the NR $\rightarrow$ Rel. redefinitions ,

use the commutators of the relativistic algebra

plug in the Rel. $\rightarrow$ NR definitions

and then take the limit.

Note that $M$ is in the center so we don't include that in "all the possible commutators." Between $J_{ij},K_i,P_i,H$ we will have 4 choose 2 (6) commutators between distinct elements, and then 3 commutators for each of $J_{ij},K_i,P_i$ with themselves. We will use

$\mapsto$ for the NR $\rightarrow$ Rel. redefinitions,

$=$ for basic simplifications,

$\asymp$ for commutations according to the Poincaré algebra

$\hookrightarrow$ for the Rel. $\rightarrow$ NR redefinitions, and

$\Rrightarrow$ for the $c\rightarrow \infty$ limit. We have

\begin{align} \notag [K_i,H] &\mapsto [c^{-1} \tilde{K_i}, \tilde{H} + \tilde{M}] \\\notag &= c^{-1} [\tilde{K_i}, \tilde{H}] \\\notag &\asymp c^{-1} \tilde{P_i}\\\notag &\hookrightarrow c^{-1} c P_i \label{barg1} \\ &= P_i \\ \notag [J_{ij},H] &\mapsto [\tilde{J_{ij}},\tilde{H}+ \tilde{M}] \\ \notag &= [\tilde{J_{ij}},\tilde{H}] \\ &\asymp 0 \\ \notag [P_i, H] &\mapsto c^{-1} [ \tilde{P_i}, \tilde{H}+ \tilde{M}] \\ \notag &= c^{-1} [\tilde{P_i},\tilde{H}] \\ \notag &\asymp c^{-1} \cdot 0 \\ &= 0 \\ \notag [K_i,P_i] &\mapsto c^{-2} [\tilde{K_i}, \tilde{P_j}] \\ \notag &\asymp c^{-2} \delta_{ij} \tilde{H} \\ \notag &\hookrightarrow c^{-2} \delta_{ij} (Mc^2 + \frac{1}{2} H) \\ \notag &= \delta_{ij} (M + \frac{1}{2} c^{-2} H) \\ &\Rrightarrow \delta_{ij} M \end{align} \begin{align}\notag [J_{ij},K_k] &\mapsto c^{-1} [\tilde{J_{ij}},\tilde{K_k}] \\ \notag &\asymp c^{-1} 2 \delta_{k[j}\tilde{K}_{i]} \\ \notag &\hookrightarrow c^{-1} c 2 \delta_{k[j}K_{i]} \\ &= 2 \delta_{k[j}K_{i]} \\ \notag [J_{ij},P_k] &\mapsto c^{-1} [\tilde{J_{ij}},\tilde{P_k}] \\ \notag &\asymp c^{-1} 2 \delta_{k[j}\tilde{P}_{i]} \\ \notag &\hookrightarrow c^{-1} c 2 \delta_{k[j}P_{i]} \\ &= 2 \delta_{k[j}P_{i]} \\ \notag [K_i,K_j] &\mapsto c^{-2} [\tilde{K_i},\tilde{K_j}] \\ \notag &\asymp c^{-2} 0\\ &= 0 \\ \notag [P_i,P_j] &\mapsto c^{-2} [\tilde{P_i},\tilde{P_j}] \\ \notag &\asymp c^{-2} 0\\ &= 0 \\ \notag [J_{ij},J_{kl}] &\mapsto [\tilde{J_{ij}},\tilde{J_{kl}}] \\ \notag &\asymp 4\delta_{[i[k}\tilde{J}_{l]j ]} \\ &\hookrightarrow 4\delta_{[i[k}J_{l]j ]} \label{barg9} \end{align}

These are precisely the commutation relations of the Bargmann algebra. See equations 2.5.a - 2.5.d and 2.24 of Ref[1].

[1] E. Bergshoeff, J. Gomis & P. Salgado-Rebolledo, "Non-relativistic limits and three-dimensional coadjoint Poincare gravity," arXiv:2001.11790, (2020).

[2] R. Andringa, E. Bergshoeff, S. Panda & M. de Roo, "Newtonian Gravity and the Bargmann Algebra," arXiv:1011.1145, (2011).

Lopey Tall
  • 1,121