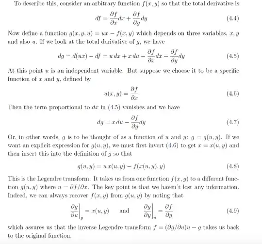
The above image shows the Legendre Transformation in the context of an introduction to the Hamiltonian formalism.
My question is in 4.6, wherein $u(x, y)$ has been defined; what is the guarantee that we would be able to invert this relation in order to get $x(u, y)$? Or in other words, what is the guarantee that we would be able to write $\dot{q_{i}}$ as $\dot{q_{i}}(p_{i}, q_{i}, t)?$. And doesn't that affect the invertibility of the Legendre transformation as a whole as written in the lines following equation 4.9?
Another question: Is time supposed to be a spectator variable when it comes to a Legendre Transformation in Hamiltonian dynamics?
Could somebody possibly dwell on this rigorously? Thanks.
