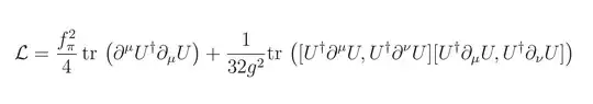
Baryons can be considered as solitions in Skyrme model(See also this post.):
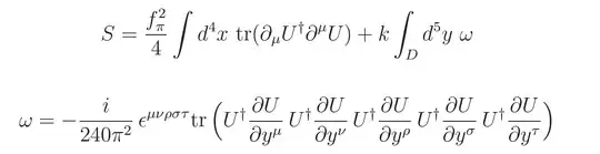
Such Lagrangian haven't any information about number of colors. Bosonic or fermionic nature of baryons depends on number of colors. To fix this, one can add WZW term to Lagrangian:

WZW term will affect amplitude of rotation on angle $2\pi$ by factor $\pm 1$.
Is it possible to determine the value of baryon spin, not only Bose/Fermi statistics?
