In a simple pendulum angular velocity $ω$ is related to angle $θ$ as $$θ = wΔt$$ But what would be the relationship between the angular velocity and angles comprising a spherical pendulum described by angles $θ$ and $\phi$?

Asked
Active
Viewed 347 times
1
Qmechanic
- 220,844
Lenny White
- 187
1 Answers
1
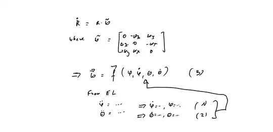
So the $3\times 3$ Rotation Matrix R is a function of $\varphi$ and $\theta$
With
Where equation (1) and (2) are the pendulum differential equation . With the solution of $\varphi(t)$ and $\theta(t)$ you can obtain the component of the angular velocity $\vec \omega$ equation (3).
Example
Eli
- 13,829


