2

Perhaps not a very bright question (and more of a personal after-thought), but how is one able to interpret or figure out the boost's magnitude (i.e. speed), direction, and rotation (about the z-axis) after a matrix multiplication?

In this "follow-up" thread, I provided below an example given by a helpful expert showing how two perpendicular boosts equal to a rotation after a boost.

Here, in the answer (shown in the image below), I noticed that the author specifically separated his solved answer with two multiplying matrices. While I'm fairly certain that this helps with finding the magnitude, direction, and rotation of the new boost, I am unsure how was the author able to accomplish this and what mathematical tools helped him determine that these two matrices setup will ultimately contribute to the solution process.

Thus, to boil it down simply, here are my two questions:

  1. How can I tell what the new boost's magnitude, direction, and rotation (about the z-axis) are when I have my matrix solution?

  2. How can I appropriately separate a - usually - one matrix solution into two to properly find for the information (i.e. magnitude, direction, and rotation) regarding the new boost?

Perpendicular Boost Matrix Example provided by G. Smith here: https://physics.stackexchange.com/questions/515663/special-relativity-perpendicular-boosts-equaling-to-a-rotation-after-a-boost?noredirect=1

Thank you for reading through this question and I will sincerely appreciate any amount of assistance to help me better understand how to derive the information for the new boost.

Source: Special Relativity - Perpendicular Boosts Equaling to a Rotation after a Boost

1 Answers1

3

In my previous answer, I mentioned that the form of a general boost to speed $\beta c$ in the direction of the unit vector $\hat n$ is

$$B(\beta,\hat n)= \left( \begin{array}{cccc} \gamma & -\gamma \beta n_x & -\gamma \beta n_y & -\gamma \beta n_z \\ -\gamma \beta n_x & 1+(\gamma-1)n_x^2 & (\gamma-1)n_xn_y & (\gamma-1)n_xn_z \\ -\gamma \beta n_y & (\gamma-1)n_yn_x & 1+(\gamma-1)n_y^2 & (\gamma-1)n_yn_z \\ -\gamma \beta n_z & (\gamma-1)n_zn_x & (\gamma-1)n_zn_y & 1+(\gamma-1)n_z^2 \\ \end{array} \right) $$

where

$$\gamma=\frac{1}{\sqrt{1-\beta^2}}.$$

A general rotation by angle $\theta$ around an axis determined by the unit vector $\hat u$ (with rotational direction given by the right-hand-rule) is

$R(\theta,\hat u)=$ $$ \left( \begin{array}{cccc} 1 & 0 & 0 & 0 \\ 0 & \cos \theta +u_x^2 \left(1-\cos \theta\right) & u_x u_y \left(1-\cos \theta\right) - u_z \sin \theta & u_x u_z \left(1-\cos \theta\right) + u_y \sin \theta \\ 0 & u_y u_x \left(1-\cos \theta\right) + u_z \sin \theta & \cos \theta + u_y^2\left(1-\cos \theta\right) & u_y u_z \left(1-\cos \theta\right) - u_x \sin \theta \\ 0 & u_z u_x \left(1-\cos \theta\right) - u_y \sin \theta & u_z u_y \left(1-\cos \theta\right) + u_x \sin \theta & \cos \theta + u_z^2\left(1-\cos \theta\right) \end{array} \right) $$

By multiplying these matrices, you can see that a general boost followed by a general rotation has the form

$$R(\theta,\hat u)B(\beta,\hat n)= \left( \begin{array}{cccc} \gamma & -\gamma\beta n_x & -\gamma\beta n_y & -\gamma\beta n_z \\ - & - & - & - \\ - & - & - & - \\ - & - & - & - \\ \end{array} \right) $$

and a general rotation followed by a general boost has the form

$$B(\beta,\hat n)R(\theta,\hat u)= \left( \begin{array}{cccc} \gamma & - & - & - \\ -\gamma\beta n_x & - & - & - \\ -\gamma\beta n_y & - & - & - \\ -\gamma\beta n_z & - & - & - \\ \end{array} \right) $$

Here the matrix elements indicated by a dash are complicated expressions involving both the boost parameters and the rotation parameters. But the first row (in the $RB$ case) or the first column (in the $BR$ case) is simple: It depends only on the boost parameters!

This means that if we want to break down a general Lorentz transformation matrix into a boost and a rotation, we can just extract the boost parameters from the first row or column.

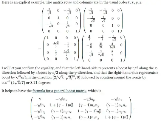
Let's see how this works in the example I gave of composing two boosts, $B\left(\frac12, \hat x\right)$ followed by $B\left(\frac12, \hat y\right)$. Multiplying the two boost matrices gives

$$\begin{align} B\left(\frac12, \hat y\right)B\left(\frac12, \hat x\right)&= \left( \begin{array}{cccc} \frac{2}{\sqrt{3}} & 0 & -\frac{1}{\sqrt{3}} & 0 \\ 0 & 1 & 0 & 0 \\ -\frac{1}{\sqrt{3}} & 0 & \frac{2}{\sqrt{3}} & 0 \\ 0 & 0 & 0 & 1 \\ \end{array} \right) \left( \begin{array}{cccc} \frac{2}{\sqrt{3}} & -\frac{1}{\sqrt{3}} & 0 & 0 \\ -\frac{1}{\sqrt{3}} & \frac{2}{\sqrt{3}} & 0 & 0 \\ 0 & 0 & 1 & 0 \\ 0 & 0 & 0 & 1 \\ \end{array} \right)\\ &= \left( \begin{array}{cccc} \frac{4}{3} & -\frac{2}{3} & -\frac{1}{\sqrt{3}} & 0 \\ -\frac{1}{\sqrt{3}} & \frac{2}{\sqrt{3}} & 0 & 0 \\ -\frac{2}{3} & \frac{1}{3} & \frac{2}{\sqrt{3}} & 0 \\ 0 & 0 & 0 & 1 \\ \end{array} \right) \end{align} $$

The matrix on the right (the composition of the two boosts) is clearly not a boost, because it isn't symmetric. And it's clearly not a rotation, because it mixes space and time coordinates. It is a more general Lorentz transformation that is neither a boost nor a rotation but a combination of them.

If we want to write it in $RB$ (boost-then-rotation) form, we extract the boost parameters from the first row. From the top-left element we find that

$$\gamma=\frac43$$

and thus the boost speed is

$$\beta=\sqrt{1-\frac{1}{\gamma^2}}=\frac{\sqrt7}{4}$$

and the product $\gamma\beta$ is

$$\gamma\beta=\frac{\sqrt{7}}{3}.$$

From the other three elements in the top row, we can easily find the boost direction $\hat n$. We have

$$-\gamma\beta n_x=-\frac23$$ $$-\gamma\beta n_y=-\frac{1}{\sqrt{3}}$$ $$-\gamma\beta n_z=0$$

and thus

$$\hat n=\left(\frac{2}{\sqrt{7}},\frac{\sqrt{3}}{\sqrt{7}},0\right).$$

Once you have extracted the parameters $\beta$ and $\hat n$ for the boost part of a general Lorentz transformation $\Lambda=RB$ from the first row of $\Lambda$, you can use the general boost formula to compute $B$. In our case, it is

$$\begin{align} B&=B\left(\frac{\sqrt{7}}{4},\left(\frac{2}{\sqrt{7}},\frac{\sqrt{3}}{\sqrt{7}},0\right)\right)\\ &= \left( \begin{array}{cccc} \frac{4}{3} & -\frac{2}{3} & -\frac{1}{\sqrt{3}} & 0 \\ -\frac{2}{3} & \frac{25}{21} & \frac{2}{7 \sqrt{3}} & 0 \\ -\frac{1}{\sqrt{3}} & \frac{2}{7 \sqrt{3}} & \frac{8}{7} & 0 \\ 0 & 0 & 0 & 1 \\ \end{array} \right) \end{align} $$

One can then invert it and find the rotation factor $R=\Lambda B^{-1}$.

If you prefer to write a general transformation in the form $\Lambda=BR$, then extract the boot parameters from the first column of $\Lambda$, compute $B$, and then compute $R=B^{-1}\Lambda$.

In either case, computing the inverse boost factor $B^{-1}$ is easy: Rather than actually inverting a $4\times 4$ matrix, you can just reverse the direction of the boost parameter $\hat n$. So in our example,

$$\begin{align} B^{-1}&=\left[B\left(\frac{\sqrt{7}}{4},\left(\frac{2}{\sqrt{7}},\frac{\sqrt{3}}{\sqrt{7}},0\right)\right)\right]^{-1}\\ &=B\left(\frac{\sqrt{7}}{4},\left(-\frac{2}{\sqrt{7}},-\frac{\sqrt{3}}{\sqrt{7}},0\right)\right)\\ &= \left( \begin{array}{cccc} \frac{4}{3} & \frac{2}{3} & \frac{1}{\sqrt{3}} & 0 \\ \frac{2}{3} & \frac{25}{21} & \frac{2}{7 \sqrt{3}} & 0 \\ \frac{1}{\sqrt{3}} & \frac{2}{7 \sqrt{3}} & \frac{8}{7} & 0 \\ 0 & 0 & 0 & 1 \\ \end{array} \right) \end{align}$$

The rotation matrix $R$ satifying $\Lambda=RB$ is then

$$\begin{align} R&=\Lambda B^{-1}\\ &= \left( \begin{array}{cccc} \frac{4}{3} & -\frac{2}{3} & -\frac{1}{\sqrt{3}} & 0 \\ -\frac{1}{\sqrt{3}} & \frac{2}{\sqrt{3}} & 0 & 0 \\ -\frac{2}{3} & \frac{1}{3} & \frac{2}{\sqrt{3}} & 0 \\ 0 & 0 & 0 & 1 \\ \end{array} \right) \left( \begin{array}{cccc} \frac{4}{3} & \frac{2}{3} & \frac{1}{\sqrt{3}} & 0 \\ \frac{2}{3} & \frac{25}{21} & \frac{2}{7 \sqrt{3}} & 0 \\ \frac{1}{\sqrt{3}} & \frac{2}{7 \sqrt{3}} & \frac{8}{7} & 0 \\ 0 & 0 & 0 & 1 \\ \end{array} \right)\\ &= \left( \begin{array}{cccc} 1 & 0 & 0 & 0 \\ 0 & \frac{4 \sqrt{3}}{7} & -\frac{1}{7} & 0 \\ 0 & \frac{1}{7} & \frac{4 \sqrt{3}}{7} & 0 \\ 0 & 0 & 0 & 1 \\ \end{array} \right) \end{align} $$

This is recognizable as a rotation around the $z$-axis because it mixes only $x$ and $y$ together. Rotations by $\theta$ around the $z$-axis look like

$$ \left( \begin{array}{cccc} 1 & 0 & 0 & 0 \\ 0 & \cos\theta & -\sin\theta & 0 \\ 0 & \sin\theta & \cos\theta & 0 \\ 0 & 0 & 0 & 1 \\ \end{array} \right) $$

so we immediately see that the rotation angle is such that

$$\cos\theta=\frac{4\sqrt{3}}{7}$$

and

$$\sin\theta=\frac{1}{7}.$$

But this raises the question of how to extract the rotation angle and rotation direction if $R$ doesn't have such a simple form as in this example.

By taking the trace of the general rotation matrix, we see that

$$\text{Tr}R(\theta,\hat u)=2+2\cos\theta$$

so the rotation angle of a general rotation $R$ is

$$\theta=\cos^{-1}\frac{\text{Tr}R-2}{2}.$$

And, since the unit vector $\hat u$ along the rotation axis doesn't get rotated by the rotation,

$$R\left(\begin{array}{c}1\\u_x\\u_y\\u_z\end{array}\right) =\left(\begin{array}{c}1\\u_x\\u_y\\u_z\end{array}\right)$$

This says that $\hat u$ is the spatial part of an eigenvector of $R$ with eigenvalue $1$.

Let's see how this works in an example where $R$ is a more complicated rotation. Consider the Lorentz transformation

$$\Lambda= \left( \begin{array}{cccc} \frac{8}{3 \sqrt{3}} & -\frac{4}{3 \sqrt{3}} & -\frac{2}{3} & -\frac{1}{\sqrt{3}} \\ -\frac{1}{\sqrt{3}} & \frac{2}{\sqrt{3}} & 0 & 0 \\ -\frac{2}{3} & \frac{1}{3} & \frac{2}{\sqrt{3}} & 0 \\ -\frac{4}{3 \sqrt{3}} & \frac{2}{3 \sqrt{3}} & \frac{1}{3} & \frac{2}{\sqrt{3}} \\ \end{array} \right) $$

which I constructed by composing three boosts: the first by $c/2$ along $\hat x$, the second by $c/2$ along $\hat y$, and the third by $c/2$ along $\hat z$.

Extracting the boost parameters as before from the first row, we find

$$\beta=\frac{\sqrt{37}}{8}$$

and

$$\hat n=\frac{(4,2\sqrt{3},3)}{\sqrt{37}}.$$

After working out $B$ and $B^{-1}$, one finds the rotation to be

$$R= \left( \begin{array}{cccc} 1 & 0 & 0 & 0 \\ 0 & \frac{2}{37} \left(6+7 \sqrt{3}\right) & \frac{2}{37} \left(3 \sqrt{3}-8\right) & \frac{1}{37} \left(9-8 \sqrt{3}\right) \\ 0 & \frac{1}{37} \left(8 \sqrt{3}-9\right) & \frac{2}{37} \left(6+7 \sqrt{3}\right) & \frac{2}{37} \left(3 \sqrt{3}-8\right) \\ 0 & -\frac{2}{37} \left(3 \sqrt{3}-8\right) & \frac{1}{37} \left(8 \sqrt{3}-9\right) & \frac{2}{37} \left(6+7 \sqrt{3}\right) \\ \end{array} \right) $$

The trace formula gives the rotation angle as

$$\theta=\cos^{-1}\frac{42\sqrt{3}-1}{74}\approx 14.18^\circ.$$

An unnormalized spatial eigenvector with eigenvalue $1$ is $(0,1,-1,1)$. (I suggest using a computer algebra system to compute the eigenvalues and eigenvectors! There is also a trivial temporal eigenvector $(1,0,0,0)$ also with eigenvalue $1$, and two complex eigenvectors with complex eigenvalues $e^{i\theta}$ and $e^{-i\theta}$. The sum of the eigenvalues equals the trace value, $2+2\cos\theta$, as it should.)

Therefore the rotation axis is the normalized spatial part of this eigenvector,

$$\hat u=\frac{(1,-1,1)}{\sqrt{3}}.$$

G. Smith
  • 52,489