0

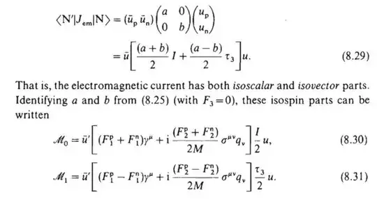
In Electroweak Interactions by Renton (page 407) there is the calculation of matrix elements for electromagnetic interactions/weak interactions involving nuclei:

enter image description here

A point of confusion for me is the reference to 8.31 is an isovector part of the matrix element. $\tau_3$ is a 2x2 Pauli matrix, which forms part of the spin 1/2 representation of $SU(2)$.

I thought isovector would refer to matrix elements of the spin 1 representation, involving 3x3 matrices. Have I misunderstood the language or is there something else going on here?

Qmechanic
  • 220,844
CT1234
  • 77

1 Answers1

2

Leaving out irrelevant parts, $\bar u ' \gamma^\mu\tau_3 u$ is a "piece" (the third component) of an isovector $\bar u ' \gamma^\mu {\boldsymbol \tau} u$.

You have built this isovector (triplet rep) out of two isospinors (doublet reps) u, which transform under su(2) via 2×2 generator matrices, like the ${\boldsymbol \tau}/2$. In turn, the isotriplet you have transforms under su(2) under 3×3 matrix generators ${\boldsymbol T}$, (thus obeying the same su(2) algebra!) essentially rotating a 3-vector infinitesimally. To see how rotating two isospinors by some angle amounts to precisely rotating an isovector by the very same angle explicitly see this answer: acting on both sides of Pauli matrices amounts to rotating their adjoint (triplet) indices by the Rodrigues formula--the sweet magic of group theory$^\dagger$.

Physicists summarize this composition of irreps by 22 = 31 , formally identical to adding two spin 1/2s to get a spin 1 and a spin 0. The triplet is the symmetric part of the product, enforced by the symmetry structure of the isospinors, whereas the singlet is the antisymmetric part, (e.g. $\bar u' u$. Here, you need consider the reversal of up and down components of the spinor with the telltale - sign, a feature of the conjugate rep of su(2)).


$^\dagger$ Compute $$ \exp{(i{\boldsymbol \theta}\cdot {\boldsymbol \tau})}~~{\boldsymbol \tau}~~ \exp{(-i{\boldsymbol \theta}\cdot {\boldsymbol \tau})} = \bigl ( \boldsymbol{\tau} ~ \cos (2\theta)+ \boldsymbol{ \hat{\theta} }\times \boldsymbol{\tau} ~\sin (2\theta)+ \boldsymbol{\hat{\theta}} ~ \boldsymbol{\hat{\theta}} \cdot \boldsymbol{\tau} ~ (1-\cos (2\theta))\bigr ) ~, $$ which amounts to the Rodrigues rotation on triplet indices by $\exp (i2\boldsymbol { \theta \cdot T})$, since the Pauli matrices are normalized by 1/2, so $\theta$ is the half angle.

Cosmas Zachos
  • 67,623